EasyManua.ls Logo

Bosch WT 11 AM1 E - Page 41

Bosch WT 11 AM1 E
48 pages
Print Icon
To Next Page IconTo Next Page
To Next Page IconTo Next Page
To Previous Page IconTo Previous Page
To Previous Page IconTo Previous Page
Loading...
6 720 607 800 (2016/02)
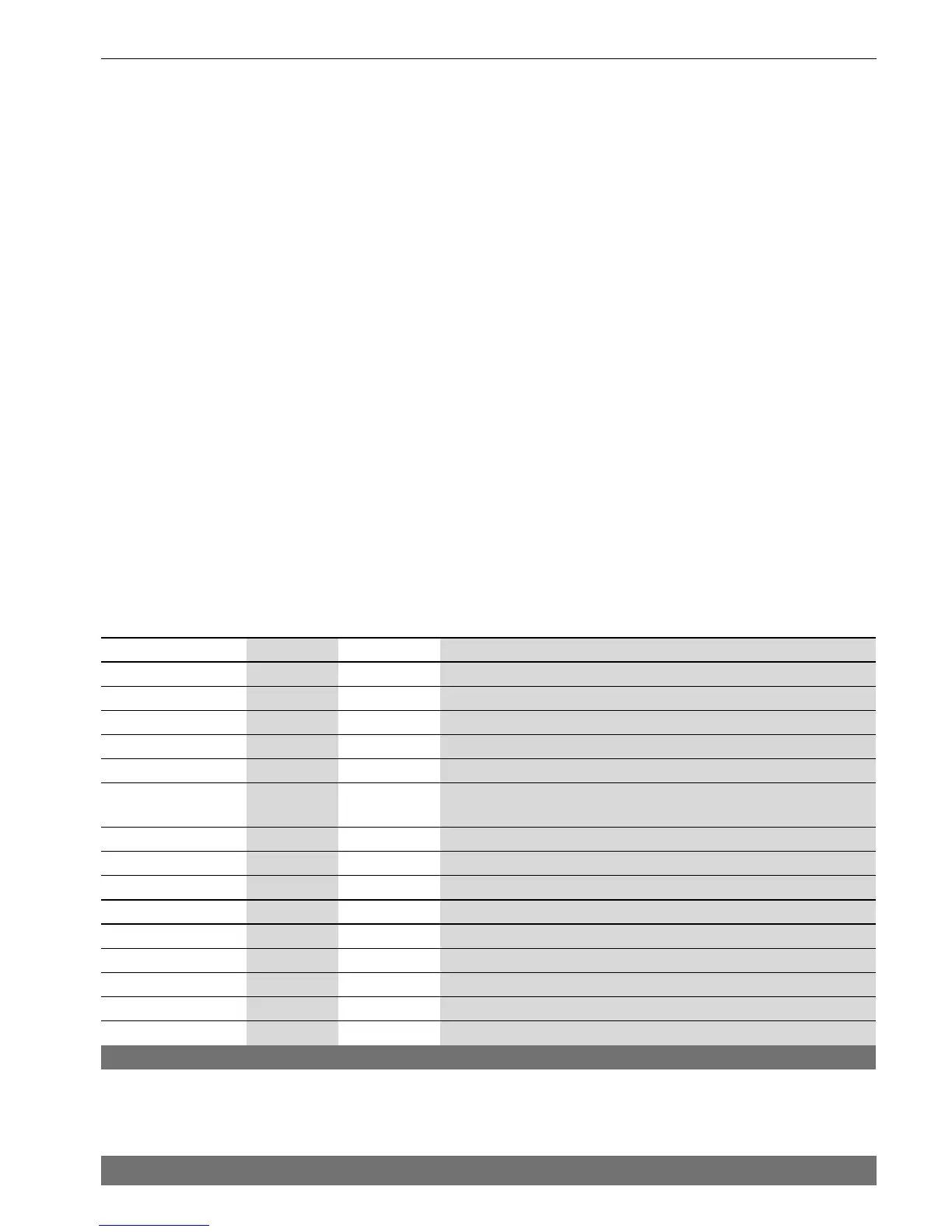
8 | Technische gegevens
4.5 Productgegevens voor energieverbruik
De volgende productgegevens voldoen aan de eisen van de EU-voorschriften nr. 811/2013, nr. 812/2013, nr. 813/2013 en nr.
814/2013 als aanvulling van Richtlijn 2010/30/EU.
Productkenmerken Symbool Eenheid 7701411040
Producttype WT 11 AM1 E 31
Stikstofoxidenemissie NO
x
mg/kWh 171
Geluidsvermogensniveau, binnen L
WA
dB(A) 54
Opgegeven capaciteitsprofiel –S
Andere capaciteitsprofielen –M
Energie-efficiëntieklasse voor waterverwarming –A
Energie-efficiëntie van waterverwarming
wh
%54
Energie-efficiëntie van waterverwarming (andere capaciteitsprofielen)
wh
%63
jaarlijks elektriciteitsverbruik AEC kWh 27
Jaarlijks elektriciteitsverbruik (andere capaciteitsprofielen, gemiddel-
de klimaatomstandigheden)
AEC kWh 35
Dagelijks elektriciteitsverbruik (gemiddelde klimaatomstandigheden) Q
elec
kWh 0,125
jaarlijks brandstofverbruik AFC GJ 3
Jaarlijks brandstofverbruik (andere capaciteitsprofielen) AFC GJ 7
Dagelijks brandstofverbruik Q
fuel
kWh 3,978
Intelligente regeling ingeschakeld? –Nee
Instelling van de temperatuurregelaar (uitleveringstoestand) T
set
°C
Tabel 6 Productkenmerken voor energieverbruik

Related product manuals