EasyManua.ls Logo

Brother MFC-7440N

Brother MFC-7440N
64 pages
To Next Page IconTo Next Page
To Next Page IconTo Next Page
To Previous Page IconTo Previous Page
To Previous Page IconTo Previous Page
Loading...
Ref. 2-19
Confidential
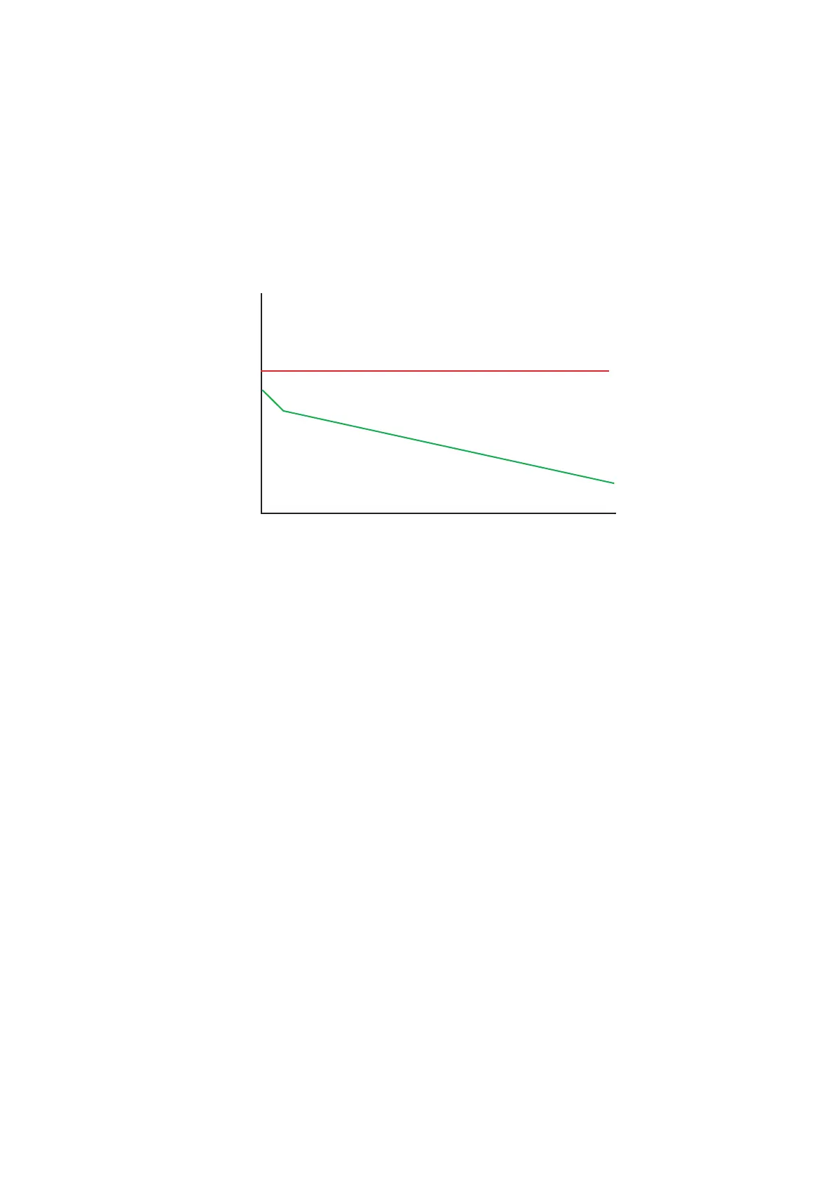
<Developing Bias Voltage>
The instant when the new toner detection mechanism detects a new toner cartridge, the
developing bias voltage is reset. Toner in use tends to have a low printing density at the time
of first use, but the density gradually becomes higher after a certain period of use.
The properties of the toner is controlled by means of the developing bias voltage. The values
are varied according to counts of the amount of toner used immediately after a toner
cartridge is changed, so that excellent print quality of an even contrast can be obtained
constantly from the printing start time to the stop time.
Fig. Ref. 2-18
Memo :
If a toner cartridge in use is changed to a cartridge which has previously been in use, the
developing bias voltage will become incorrect for the change of the print density. Toner
cartridges being used must not be replaced with other ones that are being used.
Actual control
[Used toner amount]
[Density]
[Voltage]
Print density
Developing
bias voltage

Other manuals for Brother MFC-7440N

Related product manuals