EasyManua.ls Logo

Codan 6725-W/E-AC/EX-CE - Figure 2: BUC with L-Band Modem, External In-Line PSU

Codan 6725-W/E-AC/EX-CE
149 pages
Print Icon
To Next Page IconTo Next Page
To Next Page IconTo Next Page
To Previous Page IconTo Previous Page
To Previous Page IconTo Previous Page
Loading...
Overview
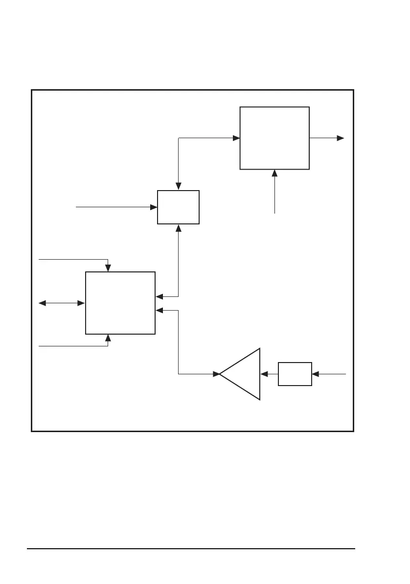
6 Block Up Converter Systems 6700/6900 series User Guide
Figure 2: BUC with L-Band modem, external in-line
PSU, and LNB
Monitor &
Control
Rx from
antenna
AC mains
Tx to
antenna
L-Band Tx IF,
10 MHz Ref,
FSK M&C
(optional)
L-Band Rx IF,
+15 V DC power (nominal),
10 MHz Ref*
RS232/422/485
Monitor & Control
(optional)
L-Band
Modem
TRF
BUC
LNB
Data
External
in-line
BUC PSU
AC mains
L-Band Tx IF,
48 V DC,
10 MHz Ref*,
FSK M&C
(optional)
* Certain BUC and LNB versions have internal references
and do not require an external 10 MHz reference

Table of Contents

Related product manuals