EasyManua.ls Logo

Daikin BPMKS048A2U - Dew Condensation Prevention Control

Daikin BPMKS048A2U
250 pages
Print Icon
To Next Page IconTo Next Page
To Next Page IconTo Next Page
To Previous Page IconTo Previous Page
To Previous Page IconTo Previous Page
Loading...
Protection Control SiUS181305E
55 Function
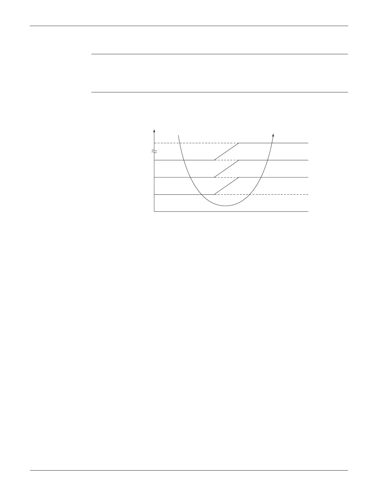
4.6 Dew Condensation Prevention Control
Outline According to the dew condensation prevention status sent from the BP unit, the compressor output
frequency is regulated to decrease compressor capacity in order to prevent the indoor unit from
dew condensation.
Detail Zones are divided based on the dew condensation prevention status signal sent from the BP unit
(indoor unit), and the dew condensation prevention control prevents dew condensation of the
indoor unit.
Recovery zone: Lift the control
Increase zone: 1 step up / 60 sec.
Keep zone: Frequency is not controlled
Decrease zone: 1 step down / 60 sec.
The temperature in the above figure depends on the model and actual room temperature
(reference value).
˚C
14.5
13.0
12.5
12.0
Recovery zone
Increase zone
Keep zone
Decrease zone
(R19086)
Indoor heat exchanger
temperature
˚F
58.1
55.4
54.5
53.6

Table of Contents

Related product manuals