EasyManua.ls Logo

Daikin ERRQ 016AAY1 - Simultaneous Demand of Space Heating and Domestic Water Heating

Daikin ERRQ 016AAY1
262 pages
Print Icon
To Next Page IconTo Next Page
To Next Page IconTo Next Page
To Previous Page IconTo Previous Page
To Previous Page IconTo Previous Page
Loading...
ESIE09-08 Outline of Control (Indoor Unit)
Function 65
6.2 Simultaneous demand of space heating and domestic
water heating
Space heating operation can be executed in 3 different ways:
Remote controller leaving water temperature control
External room thermostat
Remote controller room temperature control
The domestic water heating operation can be controlled in 2 different ways:
Reheat operation:
The reheat mode will prevent the domestic hot water from cooling down lower than a certain
temperature. When enabled the indoor unit will deliver hot water to the domestic hot water
tank if the minimum value is reached and this according below described settings. *1
Storage operation:
In this mode, the indoor unit will deliver hot water to the domestic hot water tank based on a
daily pattern (day and/or night). The heated water is stored at a higher temperature so it can
fulfill the domestic hot water requirements throughout the day. *2
*1 Remark: This function can only be activated by the shower button. Shower icon should be
led.
*2 Remark: This function can only be set by field settings. This function can only be activated by
the schedule timer button and this icon should be led.
Remote controller leaving water temperature control
When the reheat temperature is reached, the further heat up till storage temperature of the
domestic hot water tank will be decided by the running timers which are programmed by the
installer.
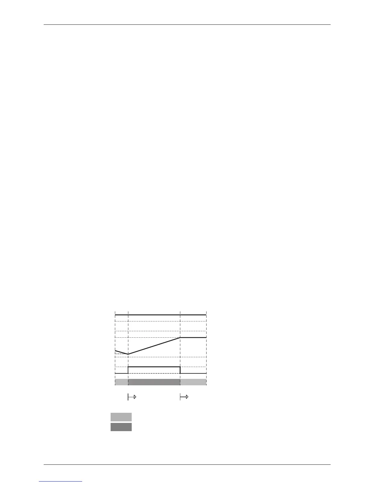
1. Reheat operation
When requesting space heating and domestic water heating (reheat) at the same time, this
involves that the minimum reheat temperature is reached (setting [b-00]) during space
heating operation. The 3-way valve will switch over to the domestic hot water side. Now, the
domestic water will be heated till maximum reheat temperature (setting [b-01]). The 3-way
valve will switch back to original position, then space heating will start again. When a
domestic hot water tank is installed, the reheat function is always available. The minimum
domestic hot water reheat temperature is 35°C and the maximum value is 75°C.
A Operation
Space heating
Domestic water heating
B Domestic hot water reheat thermo-on request
C Domestic hot water tank temperature
D Leaving water thermo-on request
A
B
C
H
J
75°C
35°C
ON
G
F
OFF
D
ON
OFF
MN

Table of Contents

Related product manuals