EasyManua.ls Logo

Datacom DM991CE - Electrical Protection for G.SHDSL Lines

Default Icon
89 pages
Print Icon
To Next Page IconTo Next Page
To Next Page IconTo Next Page
To Previous Page IconTo Previous Page
To Previous Page IconTo Previous Page
Loading...
Product Manual - DM991 Series V Family - 204.4092.08 21
0
1000
2000
3000
4000
5000
6000
7000
8000
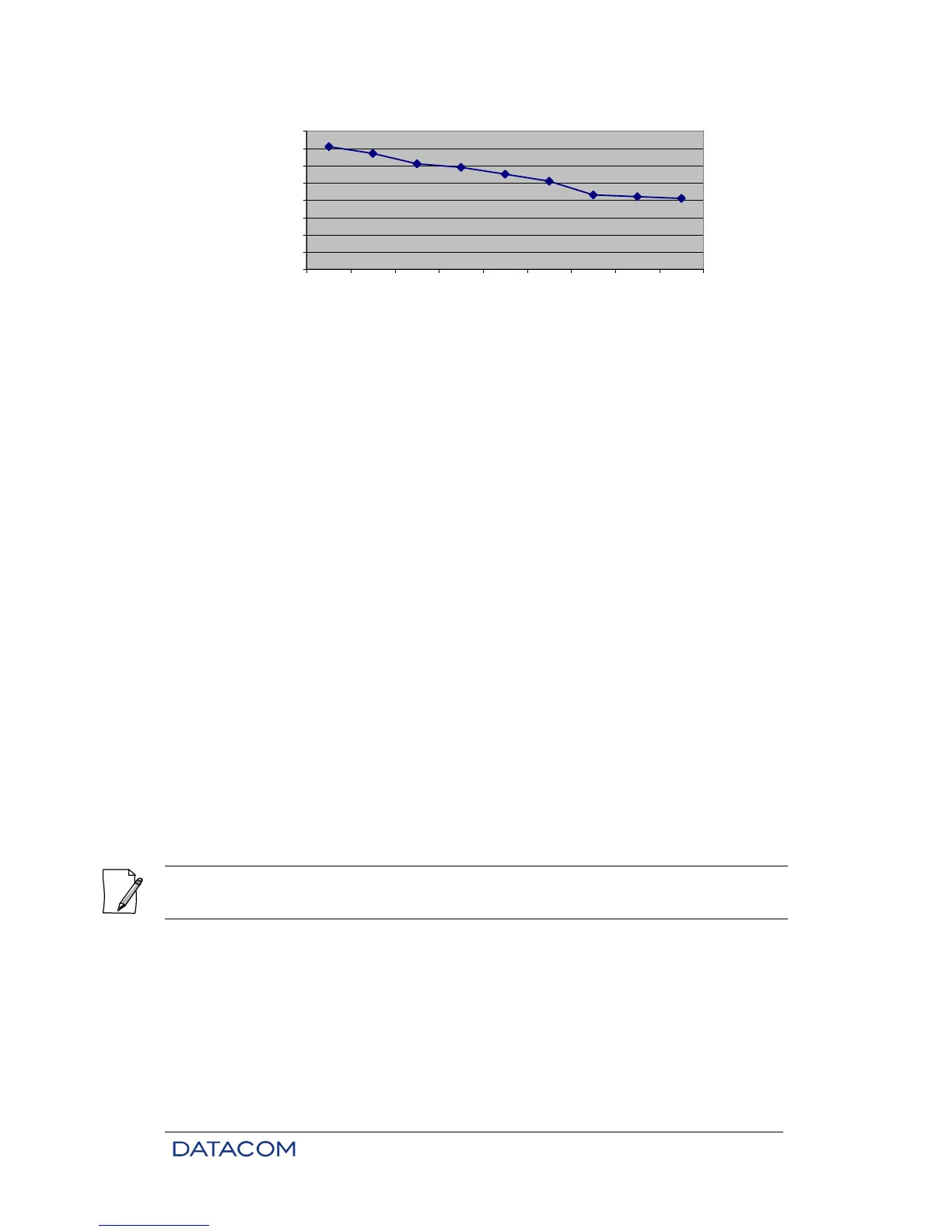
192 256 384 512 768 1024 1536 2048 2304
[kbit/s]
[m]
Figure 13. G.shdsl Interface Reach (m X kbit/s)
3.7. Four wire operation (4W)
The 4W modems presents two G.shdsl ports, these modems can operate in two ways.
3.7.1. Operating on two wires
When this modem is operating on 2 wires the data will be transmitted simultaneously on lines A and B,
adopting (1+1) protection system.
The protection is semi-automatic, that is, after commuting to the backup link, data passes through this link
until it has problems.
The switching time between both lines is approximately 1 second.
3.7.2. Operating on four wires:
When operating on 4 wires, this modem uses ports A and B as a single interface, being able to transmit
on a longer reach and more bandwidth.
The number of timeslots used in the 4 wires operation is always pair (Nx128kbit/s), that is, if the
configuration is set for an odd number, automatically one more timeslot will be used.
3.8. Electrical Protection
When the analogue lines of the G.shdsl interface pass through paths that can suffer from electric or
atmospheric discharges, it is recommended that the user adds primary protection devices to the lines.
The G.shdsl interface of models DM991C and DM991CE already has sparkler devices, among others, as
primary protection.
It is not appropriate to employ varistors as G.shdsl lines protection devices, as their high capacitance
value can lower the interface performance significantly. The same care should be taken when using
inductive protection.

Table of Contents

Related product manuals