EasyManua.ls Logo

dbx 160 - SPECIFICATIONS-161; Model 161 Technical Data

dbx 160
13 pages
Print Icon
To Next Page IconTo Next Page
To Next Page IconTo Next Page
To Previous Page IconTo Previous Page
To Previous Page IconTo Previous Page
Loading...
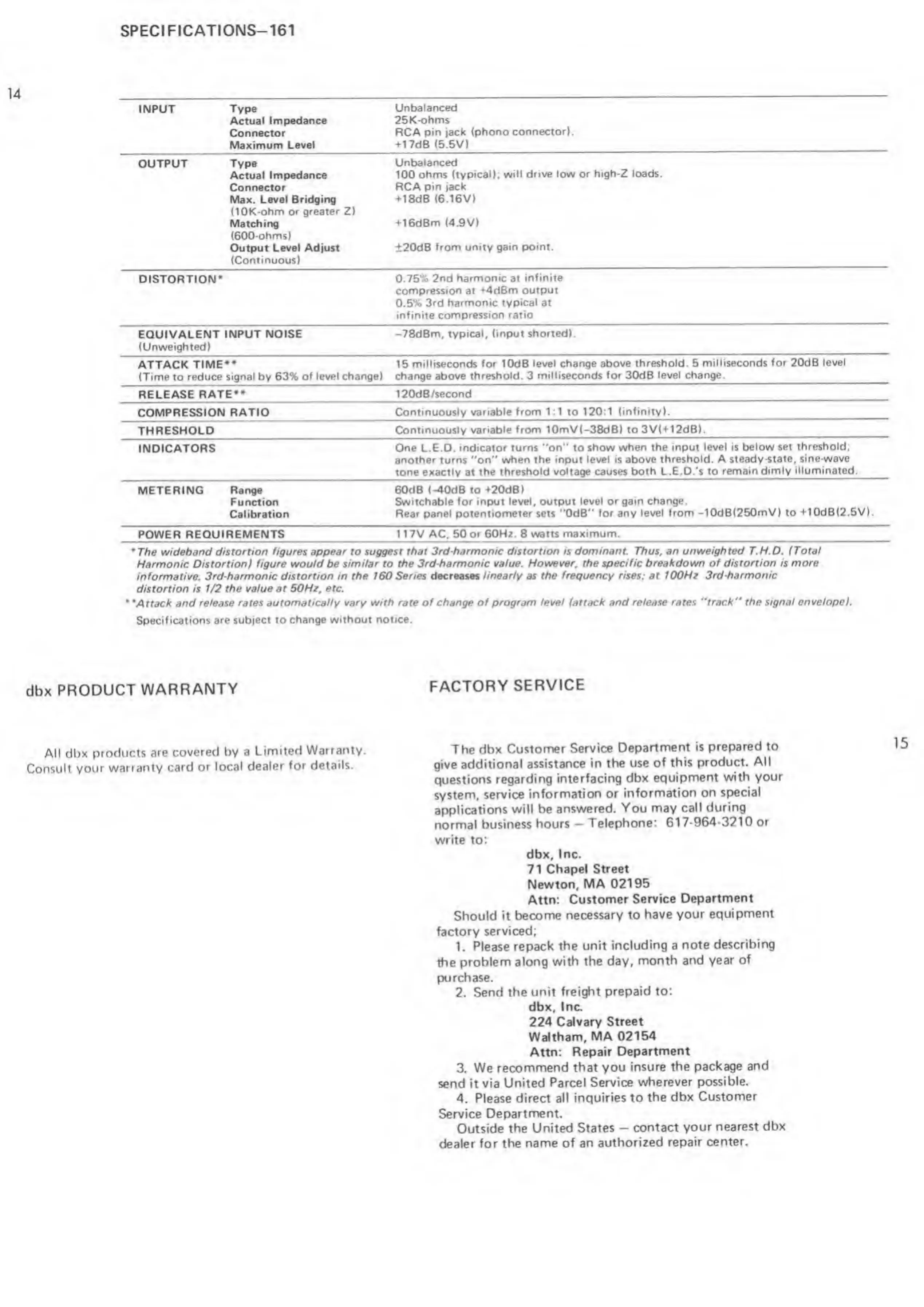
SPECI
FICATIONS— 161
INPUT Type
Actual Impedance
Connector
Maximum
Level
Unbalanced
25K-ohms
RCA pin
jack (phono connector).
+1
7dB (5.5V)
OUTPUT Type
Unbalanced
Actual Impedance
100 ohms
(typical); will drive low or high-Z
loads.
Connector RCA pin
jack
Max. Level Bridging
(lOK-ohm
or greater
Z)
+18dB
(6.16V)
Matching
(600-ohms)
+16dBm (4.9V)
Output
Level Adjust
(Continuous)
±20dB
from unity gain point.
DISTORTION*
0.75%
2nd harmonic at
infinite
compression at
+4dBm output
0.5% 3rd harmonic
typical
at
infinite
compression ratio
EQUIVALENT INPUT NOISE
(Unweighted)
-78dBm, typical, (input shorted).
ATTACK TIME**
(Time to
reduce signal by 63% of
level
change)
15 milliseconds
for
10dB
level change above threshold. 5
milliseconds for 20dB
level
change above threshold. 3
milliseconds for 30dB level change.
RELEASE RATE**
120dB /second
COMPRESSION RATIO
Continuously
variable from 1:1
to
120:1 (infinity).
THRESHOLD
Continuously variable from 10mV(-38dB) to 3V(+12dB).
INDICATORS
One L.E.D. indicator turns "on” to
show when the input level is
below set threshold;
another turns "on" when the input level is above
threshold. A steady-state,
sine-wave
tone exactly at the
threshold voltage causes both L.E.D.'s to
remain dimly illuminated.
METERING Range
Function
Calibration
60dB (-40dB to +20dB)
Switchable for input
level, output level or gain change.
Rear panel potentiometer sets "OdB" for any
level from
-10dB(250mV)
to
+10dB(2.5V).
POWER REQUIREMENTS
1 1 7V AC.
50
or 60Hz. 8 watts maximum.
The wideband
distortion figures appear to suggest that 3rd harmonic distortion is
dominant. Thus, an unweighted T.H.D.
f
Total
Harmonic
Distortion
)
figure would be similar to the
3rd harmonic value. However, the specific breakdown of distortion is more
informative. 3rd harmonic distortion in the 160 Series
decreases linearly
as
the frequency rises: at 100Hz 3rd harmonic
distortion is 1/2 the value at 50Hz, etc.
Attack and release
rates automatically vary with rate of change of program level (attack and release
rates "track" the signal envelope).
Specifications
are subject to change
without notice.
dbx
PRODUCT
WARRANTY
FACTORY
SERVICE
All dbx products
are
covered by a
Limited
Warranty.
Consult
your warranty
card
or local
dealer
for details.
The dbx
Customer
Service
Department
is
prepared to
give
additional
assistance in the
use of
this product.
All
questions
regarding
interfacing dbx
equipment
with your
system, service
information
or
information on
special
applications will
be answered.
You may
call during
normal
business hours
Telephone:
617-964-3210 or
write to:
dbx,
Inc.
71 Chapel
Street
Newton,
MA 02195
Attn:
Customer Service
Department
Should it
become necessary to
have your
equipment
factory serviced;
1.
Please repack
the unit
including
a
note
describing
the
problem along
with the day,
month and year
of
purchase.
2.
Send the
unit freight
prepaid to:
dbx, Inc.
224
Calvary Street
Waltham,
MA 02154
Attn:
Repair
Department
3.
We
recommend that you
insure the
package and
send
it
via United
Parcel Service
wherever
possible.
4.
Please
direct
all
inquiries
to
the dbx
Customer
Service
Department.
Outside the United
States
-
contact your
nearest dbx
dealer
for the name
of an authorized
repair center.

Related product manuals