EasyManua.ls Logo

Delta VFD25AMS43AFSHA

Delta VFD25AMS43AFSHA
445 pages
To Next Page IconTo Next Page
To Next Page IconTo Next Page
To Previous Page IconTo Previous Page
To Previous Page IconTo Previous Page
Loading...
Chapter 12 Description of Parameter SettingsMS300 (High Speed Model)
12-06-19
Setting 1:
When the operating point exceeds derating curve 1, carrier frequency is fixed to the set
value. Please select this mode if the change of carrier wave and motor noise caused by ambient
temperature and frequent overload are not accepted. (Please refer to Pr. 00-17)
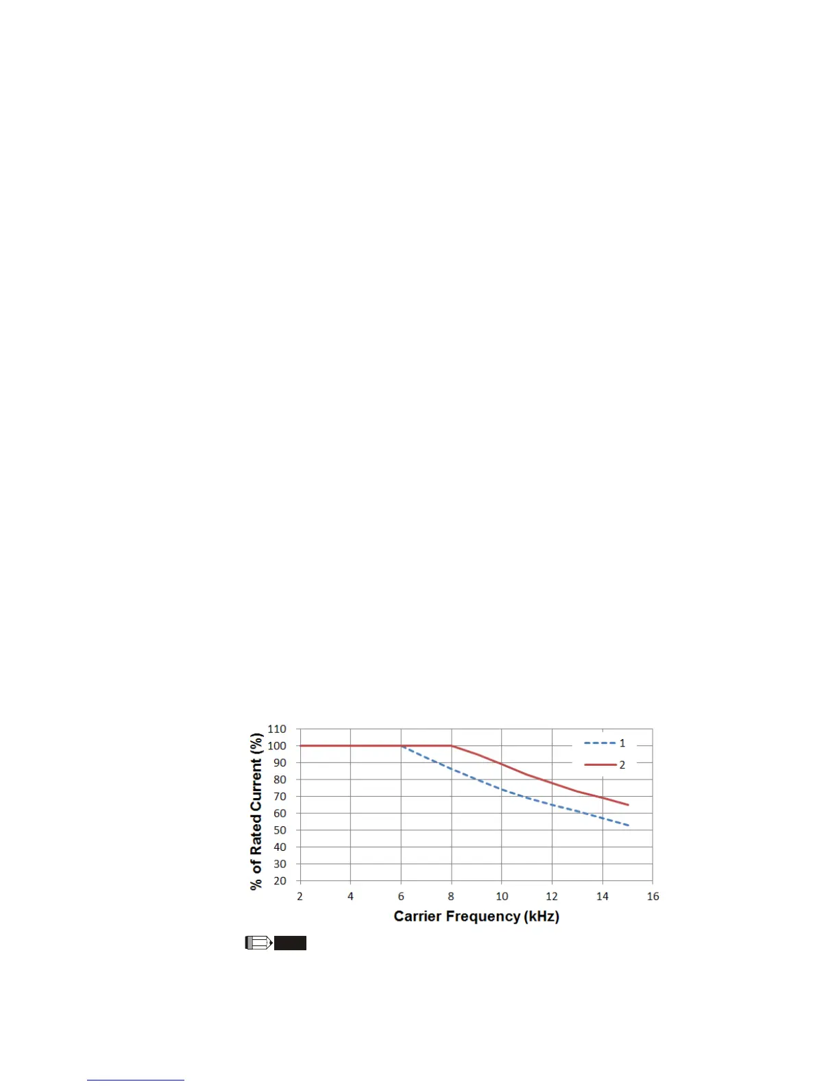
Refer to the following diagram for the derating level of rated current. For example, when the
load = 100 % of rated output current (derating curve line 1), if the carrier frequency is to be
maintained at 12 kHz, the rated current is decreased to 65 %. The OL protection will execute
when the current is 120 % * 65 % = 78 % for a minute.
Setting 2:
The protection method and action is the same as setting 0, However, as for the overcurrent
stall prevention function Pr. 06-03 and Pr. 06-04, there will not be a current limit for the derating
ratio*set value of Pr. 06-03 and Pr. 06-04. The current limit will follow the set value of Pr. 06-03
and Pr. 06-04 directly.
The advantage is that it can provide higher starting output current when the carrier
frequency setting is higher than the factory setting. The disadvantage is that the carrier wave
derates easily when overload.
Example: when Pr. 06-55 = 0 or 1, over-current stall prevention level = during acceleration
Derating Ratio*Pr. 06-03. When Pr. 06-55 = 2, over-current stall prevention level during
acceleration = Pr. 06-03.
It should be used with Pr. 00-16 for setting.
The derating will also be affected by ambient temperature, altitude, and seamless
side-by-side installation, please refer to ambient temperature derating curve.
Example: ambient temperature 50 °C, UL open-type, and independent installation. When
the carrier frequency is set to 12 kHz, corresponding to 65 % rated output current. The ambient
temperature 60°C is corresponding to 65 % * 75 % of rated output current.
Derating curve (when Pr. 00-10 = 0 and Pr. 00-11 = 0~3), modulation mode can be adjusted by
Pr. 11-41.
NOTE
Line 1: T
a
= 50
o
C
Line 2: T
a
= 40
o
C

Table of Contents

Related product manuals