EasyManua.ls Logo

Ecoflam Blu 500 PR/MD - Allacciamento Elettrico

Ecoflam Blu 500 PR/MD
Print Icon
To Next Page IconTo Next Page
To Next Page IconTo Next Page
To Previous Page IconTo Previous Page
To Previous Page IconTo Previous Page
Loading...
pag.3
LB 381 BLU 500 -1400 PR / MD A
ALLACCIAMENTO ELETTRICO
Tutti i bruciatori sono collaudati a 400 V 50 Hz trifase per i motori e 230V 50 Hz monofase con neutro per gli ausilia-
ri. Se fosse necessario alimentare il bruciatore a 230 V 50 Hz trifase senza neutro, eseguire le modifiche necessarie rife-
rendosi allo specifico schema elettrico del bruciatore e controllare che il relé termico sia entro il campo di assorbimento
del motore. Accertare inoltre il corretto senso di rotazione del motore del ventilatore.
ALLACCIAMENTO ALLA LINEA GAS
Allacciato il bruciatore alla tubazione del gas è necessario assicurarsi che quest’ultima sia a tenuta perfetta. Assicurarsi
pure che il camino non sia ostruito. Aperto il rubinetto del gas sfiatare con prudenza la tubazione attraverso l’apposita
presa di pressione e quindi controllare il valore della pressione con un manometro idoneo. Dare tensione all’impianto e
regolare i termostati alla temperatura desiderata. Alla chiusura dei termostati, il dispositivo di controllo fughe gas effet-
tua una prova di tenuta delle valvole; Al termine della prova il bruciatore riceve il consenso per effettuare il ciclo di
avviamento.
AVVIAMENTO DEL BRUCIATORE
Prima di accendere il bruciatore, assicurarsi che sia montato correttamente. Controllare i collegamenti elettrici secondo i
diagrammi e le tubazioni dell’impianto. Prima del collegamento elettrico assicurarsi che il voltaggio corrisponda ai dati
indicati nella targhetta caratteristiche.Il diagramma del collegamento elettrico e il ciclo di avviamento sono illustrati
separatamente. Per collegare l’apparecchiatura al bruciatore, vedere lo schema. Prestare particolarmente attenzione al
collegamento del neutro e della fase: non scambiarli mai. Controllare il collegamento terra dell’impianto. Nei motori
trifase controllare il senso di rotazione del motore (vedere freccia). Sfiatare l’aria e le impurità della tubazione del gas.
Controllare che la pressione del gas sia nei limiti indicati nella targhetta. Questo controllo deve essere effettuato con un
manometro gas nell’apposita presa di pressione prevista sul bruciatore. Si avvia il motore ed inizia la preventilazione. Il
motoriduttore porta la serranda dell’aria alla massima apertura in circa 30 secondi. Quando il motoriduttore é comple-
tamente aperto, un segnale all’apparecchiatura elettronica di controllo avvia un ciclo di preventilazione di circa 66
secondi. Alla fine di questa preventilazione, il motoriduttore porta la serranda in bassa fiamma permettendo l’accensio-
ne del bruciatore alla minima portata. Contemporaneamente il trasformatore di accensione viene alimentato e dopo tre
secondi (pre-accensione) vengono alimentate le valvole del gas. A questo punto la valvola a farfalla regola la portata del
gas nella testa di combustione. Due secondi dopo l’apertura delle valvole, il trasformatore é escluso dal circuito. In caso
di mancanza di accensione il bruciatore va in blocco entro due secondi. Il bruciatore si trova acceso alla minima potenza
(circa 30% della massima potenza). Lo strumento modulatore farà aprire il servomotore alla massima potenza o lo fer-
merà alla potenza intermedia richiesta dall’impianto. L’apertura del servomotore farà aprire gas ed aria in modo propor-
zionale per avere sempre a tutte le portate (30%-100%) una combustione ottimale. Al termine del funzionamento il
servomotore si porta in posizione di chiusura.
CONSIGLI IMPORTANTI
Tutti gli organi regolabili devono essere fissati dall’installatore dopo le regolazioni. Ad ogni regolazione controllate la
combustione al camino. I valori di CO
2
devono essere circa 9,7 (G20) 9,6 (G25) 11,7 (I3B) 11,7 (I3P) ed il CO infe-
riore a 75 ppm.
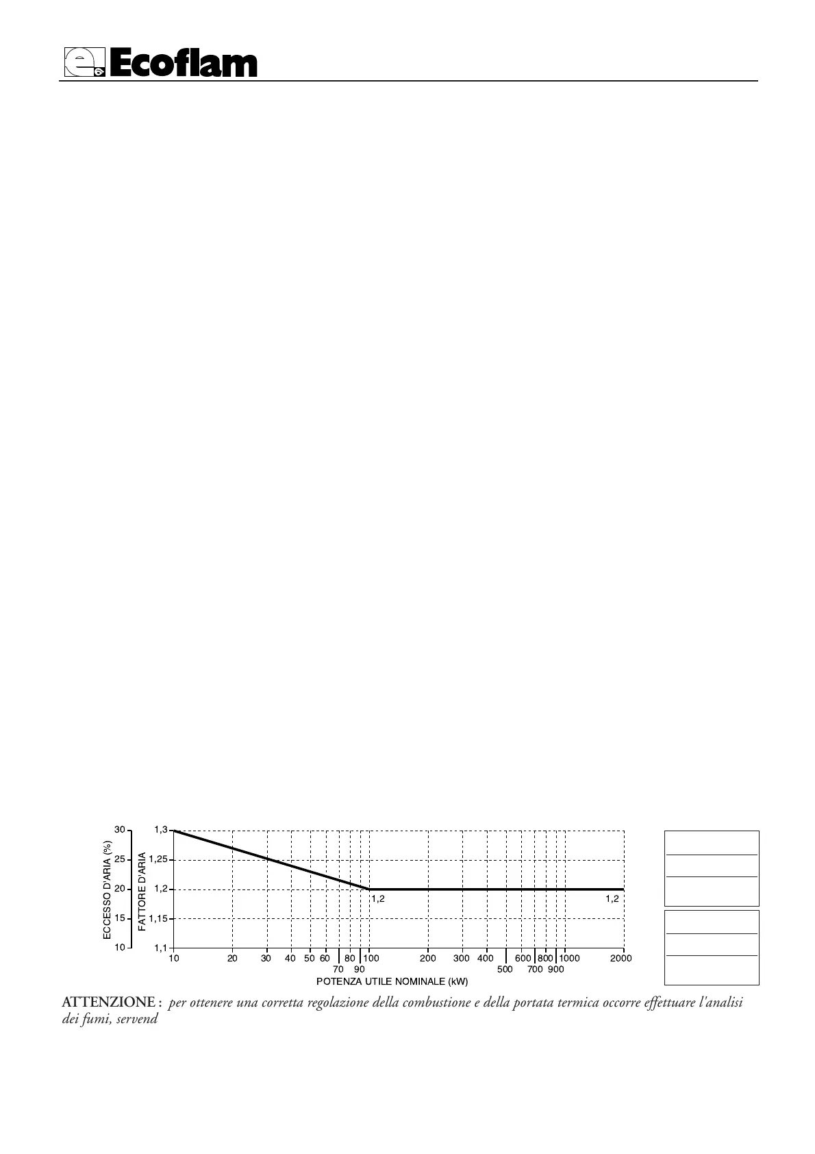
ECCESSO D'ARIA (%)
FATTORE D'ARIA
10
10 20 30 40 50 60
70
80
90
100
200 300 400
500
600
700
800
900
1000 2000
1,1
1,15
1,2
1,2
1,2
1,25
1,3
15
20
25
30
POTENZA UTILE NOMINALE (kW)
ATTENZIONE : per ottenere una corretta regolazione della combustione e della portata termica occorre effettuare l'analisi
dei fumi, servendosi degli appositi strumenti. La regolazione della combustione e della portata termica va eseguita contempo-
raneamente ad una analisi dei prodotti della combustione, assicurandosi che i valori riscontrati siano corretti, e, in ogni caso,
rispondenti alle normative di sicurezza vigenti. A tal proposito vedere la tabella e la figura sottostanti.
TALE OPERAZIONE DEVE ESSERE ESEGUITA DA PERSONALE PROFESSIONALMENTE QUALIFICATO
ED AUTORIZZATO DALLA ECOFLAM SPA .
REGOLAZIONE DELLA COMBUSTIONE
G.P.L.
CO
2
11,7 %
CO < 50 ppm
Metano
CO
2
9,6 %
CO < 50 ppm

Related product manuals