EasyManua.ls Logo

Emerson Rosemount SAM42 - Page 52

Emerson Rosemount SAM42
80 pages
Print Icon
To Next Page IconTo Next Page
To Next Page IconTo Next Page
To Previous Page IconTo Previous Page
To Previous Page IconTo Previous Page
Loading...
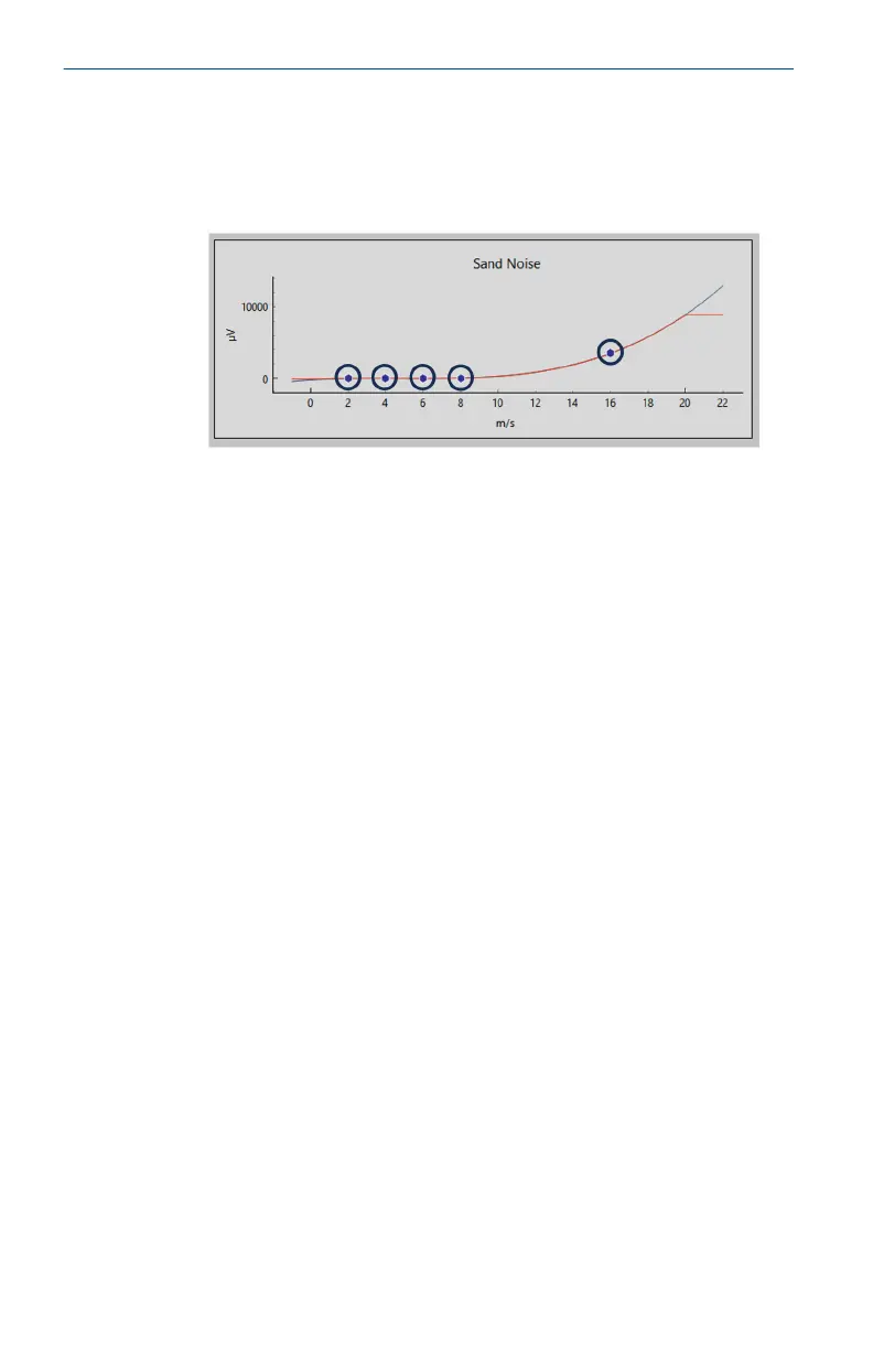
13. Verify the calibration by inspecting the graph on the right
hand of the window showing the generated polynomial curve
and where the measurement points fit on the curve. Check
that the points are on, or close to the line, to ensure a good
calibration.
4.4.2  Sand noise calibration: varying sand rate with fixed flow
velocity
In this part of the calibration, it is recommended that as a
minimum of three measurement points are used following the
recommendations stated below:
Sand rate
A minimum of three different sand rates should be chosen which
would be representative of expected conditions during operation.
An example of what could be used is shown below:
0.1 g/s
1.0 g/s
2.0 g/s
Flow velocity
Flow velocity should remain constant. It is recommended to use
the expected velocity which will be used during operation.
Quick Start Guide May2024
52 Emerson.com/Rosemount

Related product manuals