EasyManua.ls Logo

Frymaster HLZ 22 - Page 19

Frymaster HLZ 22
25 pages
Print Icon
To Next Page IconTo Next Page
To Next Page IconTo Next Page
To Previous Page IconTo Previous Page
To Previous Page IconTo Previous Page
Loading...
Frymaster L.L.C., 8700 Line Avenue 71106, P.O. Box 51000, Shreveport, Louisiana 71135-1000
318-865-1711 FAX 318-862-2394
Printed in the United States Service Hotline
Page
17
1-800-24-FRYER
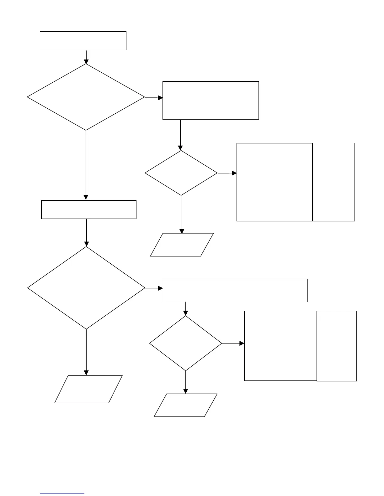
After 3 minutes, does the
air heater light change
from being on continuously
to flickering?
YES
Is air temp
within 25°F of
set
p
oint?
YES
Computer
is faulty.
NO
1. Air heater has
failed.
2. Air heater relay is
faulty.
3. Air RTD is faulty.
4. Computer has
failed.
5. Wiring connection
is faulty.
1. Test G
2. Test H
3. Test D
4. Test B
5. STD
NO
Push button #4 once to
check actual air temp, then
push again to check set
point.
After an additional 7
minutes, does “REdY”
appear in the display
indicating heater is
near set point?
YES
Push button #1 once to check actual plate
temp, then push again to check set point.
Is plate temp
within 15°F of
set point?
YES
Computer
is faulty.
1. Plate heater has
failed.
2. Plate heater relay
is faulty.
3. Computer has
failed.
4. Wiring connection
is faulty.
1. Test C
2. Test H
3. Test B
4. STD
Operation
is normal.
NO
NO
A
ir temp is near set point.
Continued from page 16.

Related product manuals