EasyManua.ls Logo

Fujitsu AUU9RLF - Page 64

Fujitsu AUU9RLF
319 pages
Print Icon
To Next Page IconTo Next Page
To Next Page IconTo Next Page
To Previous Page IconTo Previous Page
To Previous Page IconTo Previous Page
Loading...
¢
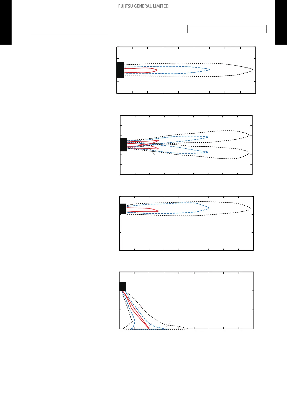
Model: ASU15RLF1
Measuring conditions
Fan speed Operation mode
HIGH FAN
Top view
Vertical airflow direction louver: Up
Horizontal airflow direction louver: Center
7 (2.0)
3 (1.0)
2 (0.5)
2
1
0
1
2
Unit: ft/s (m/s)
(m)
(m)
0123456
78
7
3
0
3
7
(ft)
(ft)
03710131620
23
26
9
29
Top view
Vertical airflow direction louver: Up
Horizontal airflow direction louver: Left & Right
3 (1.0)
3 (1.0)
2 (0.5)
2 (0.5)
7 (2.0)
7 (2.0)
10
7
3
0
3
7
10
(ft)
(ft)
03
710 13162023
26
3
2
1
0
1
2
3
Unit: ft/s (m/s)(m)
(m)
01
23 4567
8
9
29
Side view
Vertical airflow direction louver: Up
Horizontal airflow direction louver: Center
7 (2.0)
3 (1.0)
2 (0.5)
3
2
1
0
Unit: ft/s (m/s)
(m)
(m)
012345678
10
7
3
0
(ft)
(ft)
037101316202326
9
29
Side view
Vertical airflow direction louver: Down
Horizontal airflow direction louver: Center
7 (2.0)
3 (1.0)
2 (0.5)
3
2
1
0
Unit: ft/s (m/s)
(m)
(m)
012 34 5 67 8
10
7
3
0
(ft)
(ft)
0 3 7 10 13 16 20 23 26
9
29
- 56 -
5-3. Wall mounted type 5. Air velocity and temperature distributions
MULTI TYPE
2, 3, 4 ROOMS TYPE
MULTI TYPE
2, 3, 4 ROOMS TYPE

Table of Contents

Other manuals for Fujitsu AUU9RLF

Related product manuals