EasyManua.ls Logo

Garmin GPSMAP 2006 - Sonar Page

Garmin GPSMAP 2006
104 pages
Print Icon
To Next Page IconTo Next Page
To Next Page IconTo Next Page
To Previous Page IconTo Previous Page
To Previous Page IconTo Previous Page
Loading...
24
Reference
Sonar Page
Sonar Page
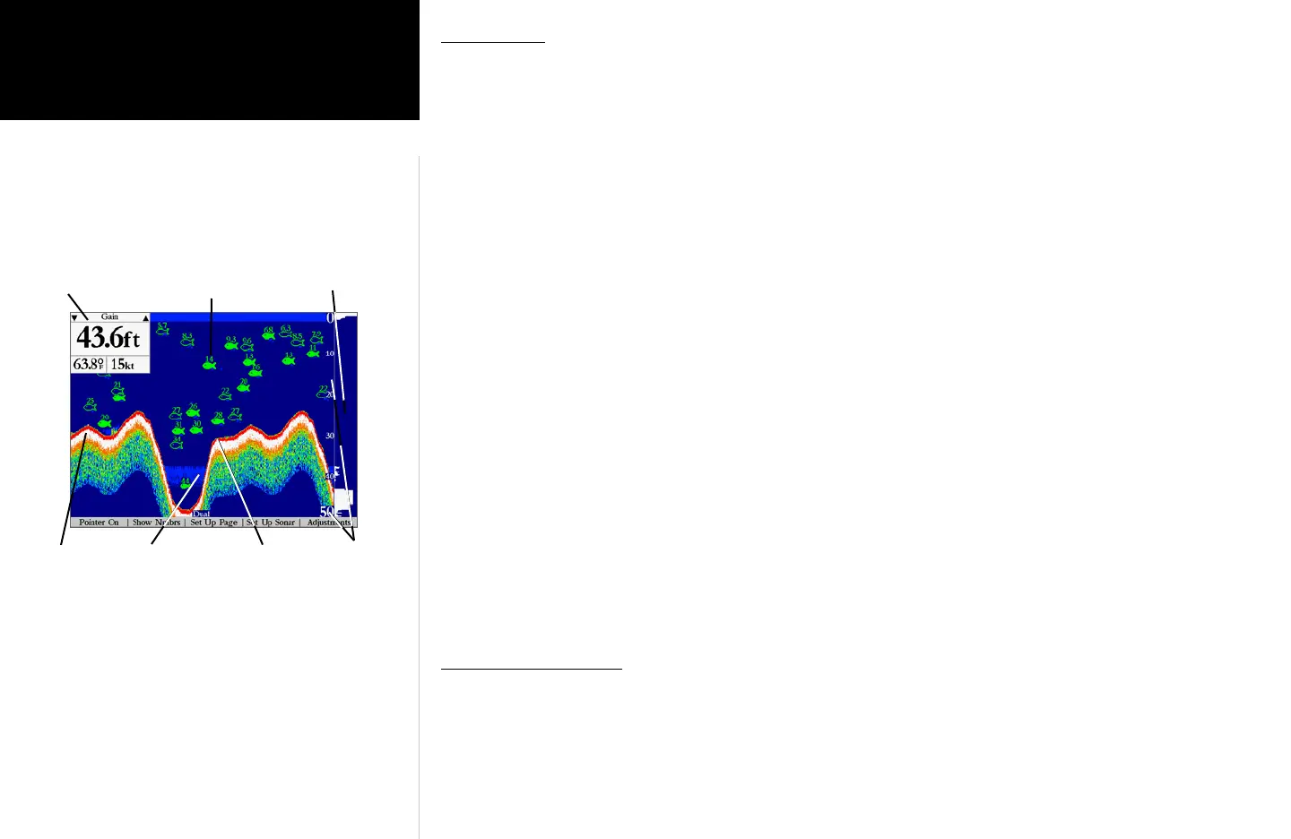
The Sonar Page is where your GPSMAP 2006/2010 becomes a powerful fishfinder. The top left of the
screen contains information fields, while the Adjustments selection (see pg. 29) above the fields allows
direct access to the settings most commonly changed while using the Sonar Page. The middle of the page
contains a right-to-left moving sonar image of the water beneath your boat. (Note: Items appear as they
pass under your transducer. Those items on the right side of the screen are closer to you than those on
the left.) Along the right side of the screen is an adjustable scale which reflects the depth of the area being
displayed. You may also show a sonar flasher and color bar on the right side (see pg. 27). If the unit does
not detect a sonar device (GSD 20) attached to the unit, a “Sonar Turned Off” message will appear.
The sonar display may also be set to show a split screen view of a zoomed portion of the sonar, bottom
lock (display scaled from the bottom up), or a combination of these options (see pg. 26). For example, you
may choose to show dual frequency at a 2X zoom (Dual 2X) on one half and normal range dual frequency
(Dual) returns on the other half. The current display mode will be displayed at the bottom of each sonar
display.
On color models, sonar returns will show as red (strongest), then oranges (strong), yellows (medium),
greens (weaker) and blues (weakest). On grayscale models, stronger returns will appear darker and weaker
returns lighter. The ‘Fish Symbols’ option (see page 26) allows you to view the actual sonar data, a fish
symbol or a combination of both. ‘Fish Symbols’ will appear as green. When the unit is set to ‘Dual’ (see
page 27), the appearance of the fish symbols (and simulated fish returns) will change. Fish symbols from
the narrower beam (200kHz) will be solid (or narrow returns), but the returns from the wider beam
(50kHz) will be hollow (or wide returns). Simulated fish icons are displayed in three different sizes. Actual
fish returns may not always appear as perfect arches, due to the speed, fish orientation, and/or other condi-
tions.
More on understanding the sonar may be found on pages 88-91.
Sonar Page Options
The GPSMAP 2006/2010’s Sonar Page features SOFT KEYS that provide access to additional
functions, set up and layout/data field options.
To select a SOFT KEY option:
1. Press the SOFT KEY below the desired option.
Data Fields
Bottom
Thermocline
Depth Scale
Flasher
Whiteline
Simulated Fish (with Fish
Symbols On)

Other manuals for Garmin GPSMAP 2006

Related product manuals