EasyManua.ls Logo

GE LM10 - Page 32

GE LM10
106 pages
Print Icon
To Next Page IconTo Next Page
To Next Page IconTo Next Page
To Previous Page IconTo Previous Page
To Previous Page IconTo Previous Page
Loading...
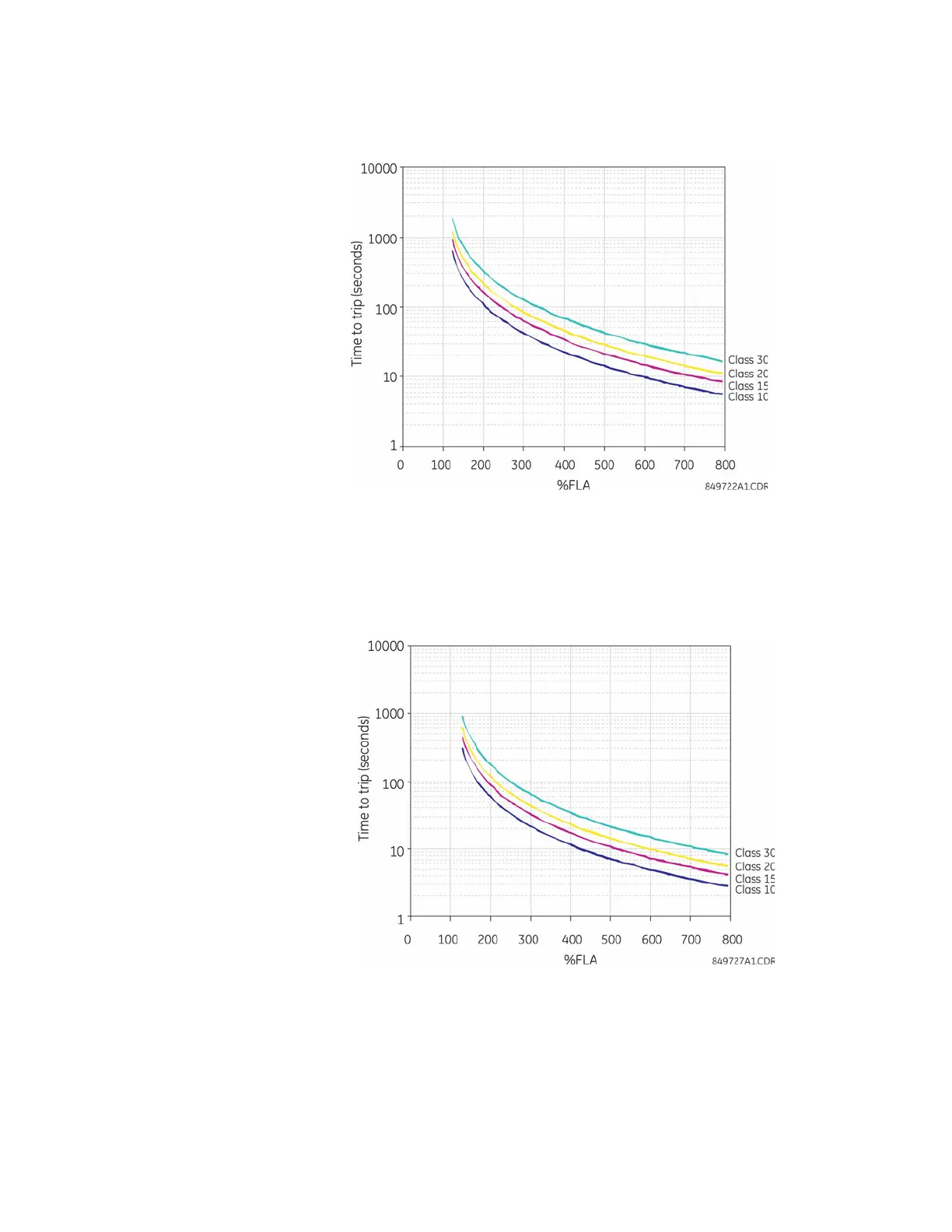
4–26 LM10 MOTOR PROTECTION SYSTEM – INSTRUCTION MANUAL
OVERCURRENT FAULT CONDITIONS CHAPTER 4: FUNCTIONALITY
FIGURE 4–1: Cold Motor Trip Curves
FIGURE 4–2: Hot Motor Trip Curves

Table of Contents

Related product manuals