EasyManua.ls Logo

Hach 900 MAX - Analog Inputs; Analog Inputs Connection

Hach 900 MAX
160 pages
Print Icon
To Next Page IconTo Next Page
To Next Page IconTo Next Page
To Previous Page IconTo Previous Page
To Previous Page IconTo Previous Page
Loading...
Section 6
Page 93
8990cm.fm Analog Inputs
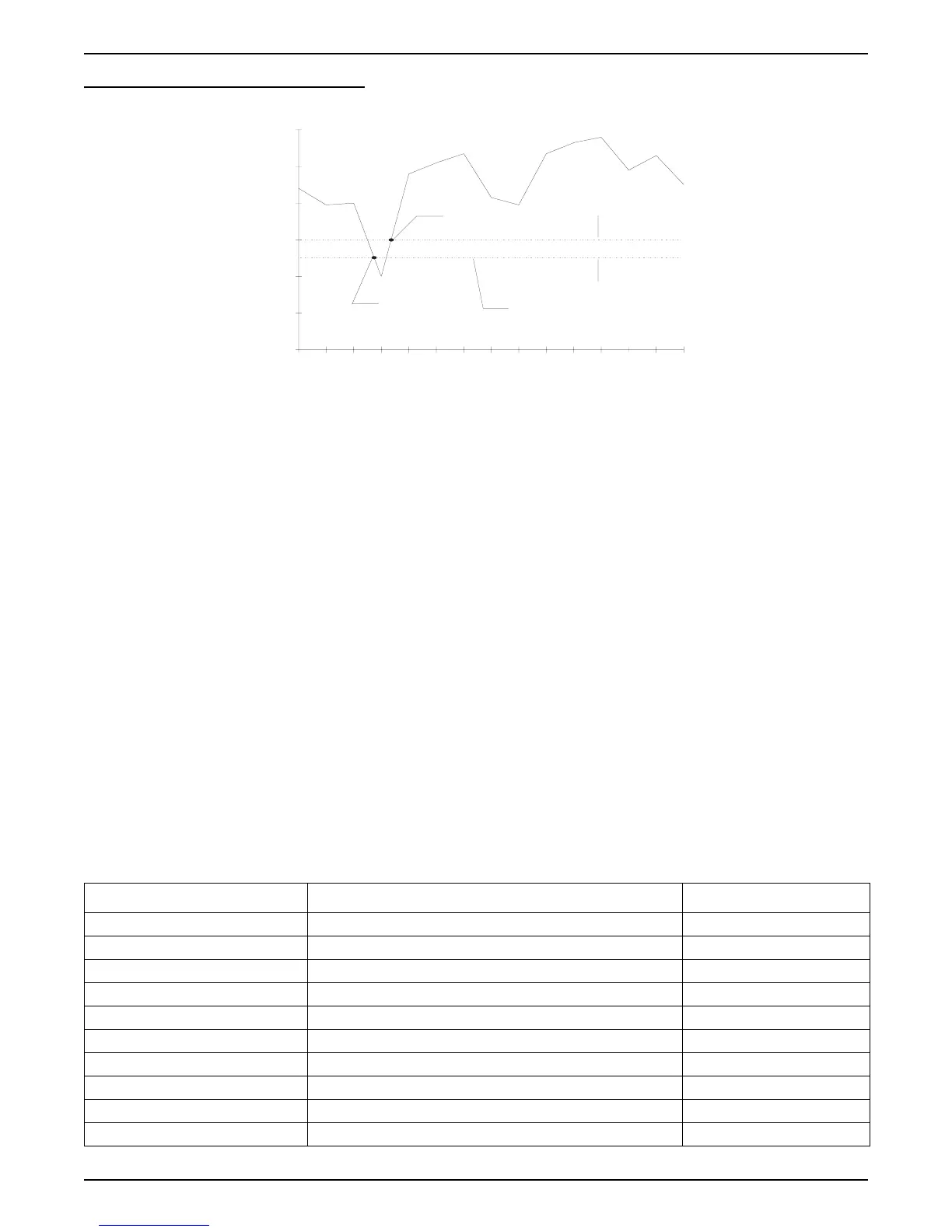
Figure 28 Deadband Concept
6.5 Analog Inputs
6.5.1 Analog Inputs Connection
Note: 4–20 mA inputs must be
isolated. Maximum load per unit is
200 ohms.
Analog voltage as well as analog current input signals are accommodated in a
single connector.
To connect the analog voltage signal (-4.0 to +4.0 V dc):
1. Tie ground wire to Pin B (ground).
2. Tie analog voltage wire to the appropriate voltage input pin
(Pin C, E, or G).
For example, to connect an analog voltage input to analog input channel 1, tie
the ground wire to pin B and your positive wire to pin C.
To connect an analog current signal (4–20 mA dc)
1. Tie ground wire to Pin B (ground).
2. Connect analog current wire to both voltage and current input pins for the
appropriate channel (Pin C and D, or E and F, or G and H).
7.60
7.40
7.20
7.00
6.80
6.60
6.40
pH
Alarm Off
Alarm On
Deadband
Low Alarm Setpoint= 6.9 pH
Table 19Analog Input Pin Assignments
Pin Signal Description Wire Color
A +12 V dc White
B Signal Ground Blue
C Voltage Input 1 (-4.0 V dc to +4.0 V dc) Yellow
D Current Input 1 (4–20 mA dc) Black
E Voltage Input 2 (-4.0 V dc to +4.0 V dc) Red
F Current Input 2 (4–20 mA dc) Green
G Voltage Input 3 (-4.0 V dc to +4.0 V dc) Gray
H Current Input 3 (4–20 mA dc) Brown
J not used Violet
K not use Orange

Table of Contents

Related product manuals