EasyManua.ls Logo

Heraeus T 6030 - Page 17

Default Icon
Print Icon
To Next Page IconTo Next Page
To Next Page IconTo Next Page
To Previous Page IconTo Previous Page
To Previous Page IconTo Previous Page
Loading...
Temperatur-
Wahlwachter (TVyW)
mit Wachterfunktion
bei Temperatur-
Gberschreitung
Temperatursicherheitsklasse 3.1
Schutz des Warmeschrankes, dessen Umgebung und des
Beschickungsgutes gegen unzulassige Temperaturuber-
schreitung.
Nur fur ungefahriicnes Beschickungsgul zulassig (siehe
auch Labomchtlinien ZH 1/119).
Funktion:
Der TWW ist von der Temperatur-Regeleinrichtung
funktionell und elektrisch unabhangig und ubernimrnt im
Fehlerfalle die Regelfunktion.
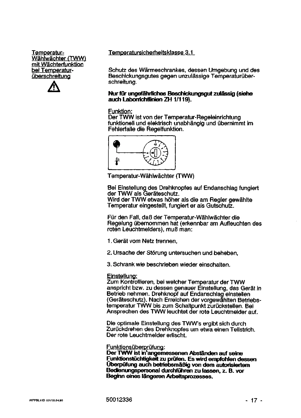
Temperatur-Wahlwachter (TWW)
Bei Einstellung des Drehknopfes auf Endanschlag fungiert
der TWW als Gerateschutz.
Wird der TWW etwas hoher als die am Regler gewahlte
Temperatur eingestellt, fungiert er als Gutschutz.
Fur den
Fall,
da(3 der Temperatur-Wahlwachter die
Regelung ubernommen hat (erkennbar am Aufleuchten des
roten Leuchtmelders), muB man:
1.
Gerat vom Netz trennen,
2.
Ursache der Storung untersuchen und beheben,
3. Schrank wie beschrieben wieder einschalten.
Einstellung:
Zum Kontrollieren, bei welcher Temperatur der TWW
anspricht bzw. zu dessen genauer Einstellung, das Gerat in
Betrieb nehmen. Drehknopf auf Endanschlag einstellen
(Gerateschutz). Nach Erreichen der vorgewahlten Betriebs-
temperatur TWW bis zum Schaltpunkt zuruckstellen. Bei
Ansprechen des TWW leuchtet der rote Leuchtmelder auf.
Die optimale Einstellung des TWW's ergibt sich durch
Zuruckdrehen des Drehknopfes urn etwa einen Teilstrich.
Der rote Leuchtmelder erlischt.
Funktionsuberprufung:
Der TWW ist in*angemessenen Abstanden auf seine
Funktionstuchtigkett zu prufen. Es wird empfohlen dessen
UberpOfung auch betriebsmaBig von dem autorisiertem
Bedienungspersonal durchfuhren zu lassen, z. B. vor
Beginn eines langeren Arbeitsprozesses.
WPPBL1/ID 101/18.04.90
50012336
- 17 -

Related product manuals