EasyManua.ls Logo

ISA T1000 PLUS - Page 23

ISA T1000 PLUS
145 pages
Print Icon
To Next Page IconTo Next Page
To Next Page IconTo Next Page
To Previous Page IconTo Previous Page
To Previous Page IconTo Previous Page
Loading...
DOC. MIE91093 Rev. 1.34 Page 23 of 145
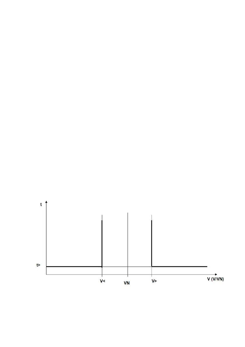
AUX VAC/VDC > Aux VAC control > Range (RET)
Mode > Pre-fault+fault > Pre-
fault amplitude > (Value) ESC
The range should be the closest one to the high threshold to
be generated. The pre-fault amplitude is adjusted by the
multi-function knob and display; the value is computed from
the nominal relay (phase to phase) voltage VN:
V pre-fault = VN/1.73
Standard values are: 57.8 V for VN = 100 V; 63.5 V for VN =
110 V.
After this adjustment the pre-fault voltage is generated
prior to all tests. Select ON: as the test is started, the
voltage goes to the fault value, that is adjusted by the knob
(20). Pre-adjust the fault value at the same value as the pre-
fault.
. Connect the TRIP output to the STOP input.
. Next steps depend upon the type of relay and upon the type
of test you want to perform. The following example applies to
an overvoltage and undervoltage relay with one (or more)
time-independent threshold. Of this relay we want to find and
save trip and drop-off thresholds.
. Set the “Automatic save at trip” function, as follows.
Test control > Save > Confirm at trip > ESC
. Set the timer with the following selections:
Timer start/stop > START > INT (RET)
VN

Table of Contents

Other manuals for ISA T1000 PLUS

Related product manuals