EasyManua.ls Logo

ISA T1000 PLUS - Over and Under Frequency Relay Testing

ISA T1000 PLUS
145 pages
Print Icon
To Next Page IconTo Next Page
To Next Page IconTo Next Page
To Previous Page IconTo Previous Page
To Previous Page IconTo Previous Page
Loading...
DOC. MIE91093 Rev. 1.34 Page 48 of 145
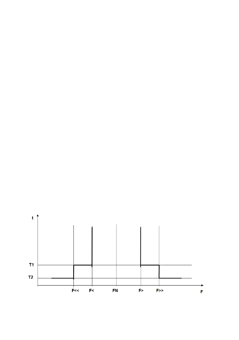
1.6 OVER AND UNDER FREQUENCY RELAY TESTING
1.6.1. Introduction
Frequency relay monitor the frequency of generator voltage
outputs; if the upper or lower frequency threshold is reached,
the relay issues a trip command for the circuit breaker, in
order to preserve the generator safety.
The test is performed using the auxiliary voltage generator,
that allows setting the output frequency. We will take
advantage of pre-fault and fault selection, so that:
. Pre-fault output is set at nominal voltage and mains
frequency;
. Fault output has the same amplitude, but frequency is
modified according to our test.
During the test the relay is powered with nominal voltage
amplitude; as the frequency changes, amplitude and phase
are not affected .
Next steps depend upon the type of relay and upon the type of
test you want to perform. The following example applies to a
frequency relay with two high and two low thresholds; for both
we want to find and save trip and drop-off values.

Table of Contents

Other manuals for ISA T1000 PLUS

Related product manuals