EasyManua.ls Logo

ISA T1000 PLUS - Definition of Terms

ISA T1000 PLUS
145 pages
Print Icon
To Next Page IconTo Next Page
To Next Page IconTo Next Page
To Previous Page IconTo Previous Page
To Previous Page IconTo Previous Page
Loading...
DOC. MIE91093 Rev. 1.34 Page 89 of 145
During our tests, we do not modify the test angle and the test
current: as a consequence, the fault impedance becomes a
function of the test voltage only. Now, the point is that a
setting of nominal value Z is verified when we find that:
. With a fault at Z-d the relay trips in zone N;
. With a fault at Z+d the relay trips in zone N+1.
The value d can be made as small as desired; however, ad d is
smaller, the step between zones becomes uncertain, and not
exactly steep. If the above is verified, then the relay setting is
Z. In conclusion, you always need two tests to verify the
setting; you cannot compute the values corresponding to Z,
start one test and decide if the setting is correct. This makes
the testing more difficult, especially with phase to phase
faults.
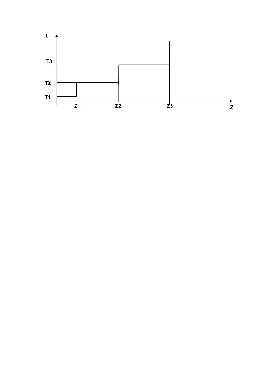
As example, Z1 is checked when:
. With Z1-d, the relay trips with delay T1;
. With Z1+d, the relay trips with delay T2.
In a similar way, time limits for Z2 are T2 and T3, and for Z3
are T3 and no trip.
As you see, testing distance relays can be difficult; however, it
can be very important to be able to do it anyway.
1.12.2 Definition of terms
The definition of parameters is the following.

Table of Contents

Other manuals for ISA T1000 PLUS

Related product manuals