EasyManua.ls Logo

Isolite E3MINI Series - User Presets for Dimming Control

Isolite E3MINI Series
32 pages
Print Icon
To Next Page IconTo Next Page
To Next Page IconTo Next Page
To Previous Page IconTo Previous Page
To Previous Page IconTo Previous Page
Loading...
DIM 1, OUT1 and CMD 1 all work together as a zone. CMD 1 controls OUT 1 to turn
on and off with a line voltage signal during normal operation (charge mode). Also during
this time, the DIMMABLE EMERGENCY FIXTURE is connected directly to the DIMMER OR
CONTROL through the DIM 1 control relay.
During Emergency or Inverter mode of operation, the OUT 1 automatically energizes
from the Inverter and the DIM 1 internal relay transfers to the DIM 1 USER SETTINGS.
The DIMMABLE EMERGENCY FIXTURE will automatically change light levels during
Emergency or Inverter Mode to the USER PRESET value.
DIM 2, OUT 2, CMD 2 and DIM 3, OUT 3, CMD 3 also work as independent zones.
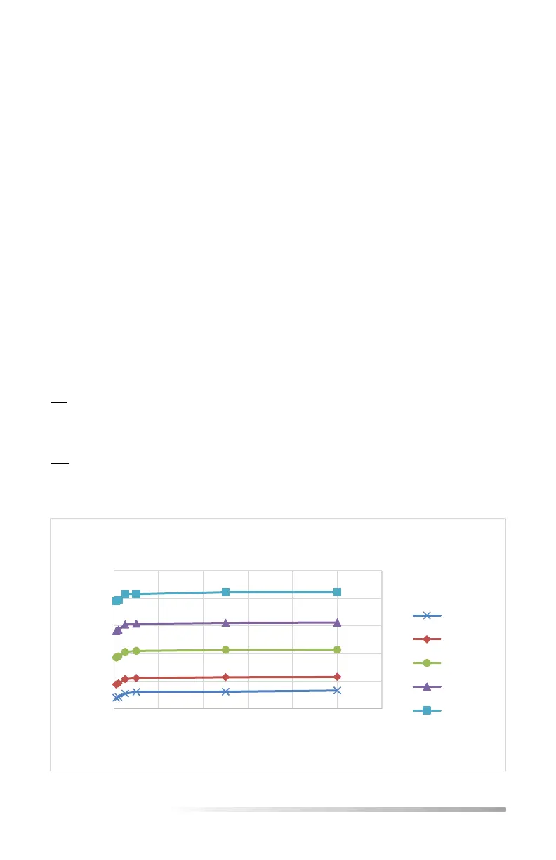
12.3 User Presets (DIM ADJ)
There are 5 user presets (when using 0-10V interface) which can be changed by
rotating the DIM ADJ. either clockwise (CW) for brighter and counter clockwise (CCW)
for dimmer. The furthest CW rotation is an Open Circuit or 100% light level and the
furthest CCW rotation is about 1V or 10% dimming level. The User Presets are current
dependent which means that the values will change depending upon how much current
the Dimmer Module has to sink. Provided below is a typical V/I Relation curve for the
different USER PRESET positions with various LED driver current levels. 100% levels are
not shown (open circuit) as these are only Position 1-5 dimming levels.
TIP - If the DIM ADJ. is set to provide 100% light levels to the fixture, the gray (common)
wire is not needed. The gray wire is a current return path for the driver and is only
required when dimming to light levels lower than 100%.
TIP – The TEST Button on the DIM 1, DIM 2 and DIM 3 circuits will cause the internal
signal relay to switch to the USER PRESET value. This is very helpful to adjust the DIM1-3
signal and check for illumination and power consumption levels.
0
2
4
6
8
10
0 20 40 60 80 100 120
Voltage (V)
Current (mA)
Dimming Board V/I Relation
Position1
Position2
Position3
Position4
Position5
E3MINI SERIES | 23

Related product manuals