EasyManua.ls Logo

KRAL BEM 100 - Parameter for Clearing Error Messages; Transportation, Storage; Unpacking and Checking the State of Delivery; Transporting the Electronic Unit

KRAL BEM 100
24 pages
Print Icon
To Next Page IconTo Next Page
To Next Page IconTo Next Page
To Previous Page IconTo Previous Page
To Previous Page IconTo Previous Page
Loading...
6 Transportation, storage
6.1 Unpacking and checking the state of delivery
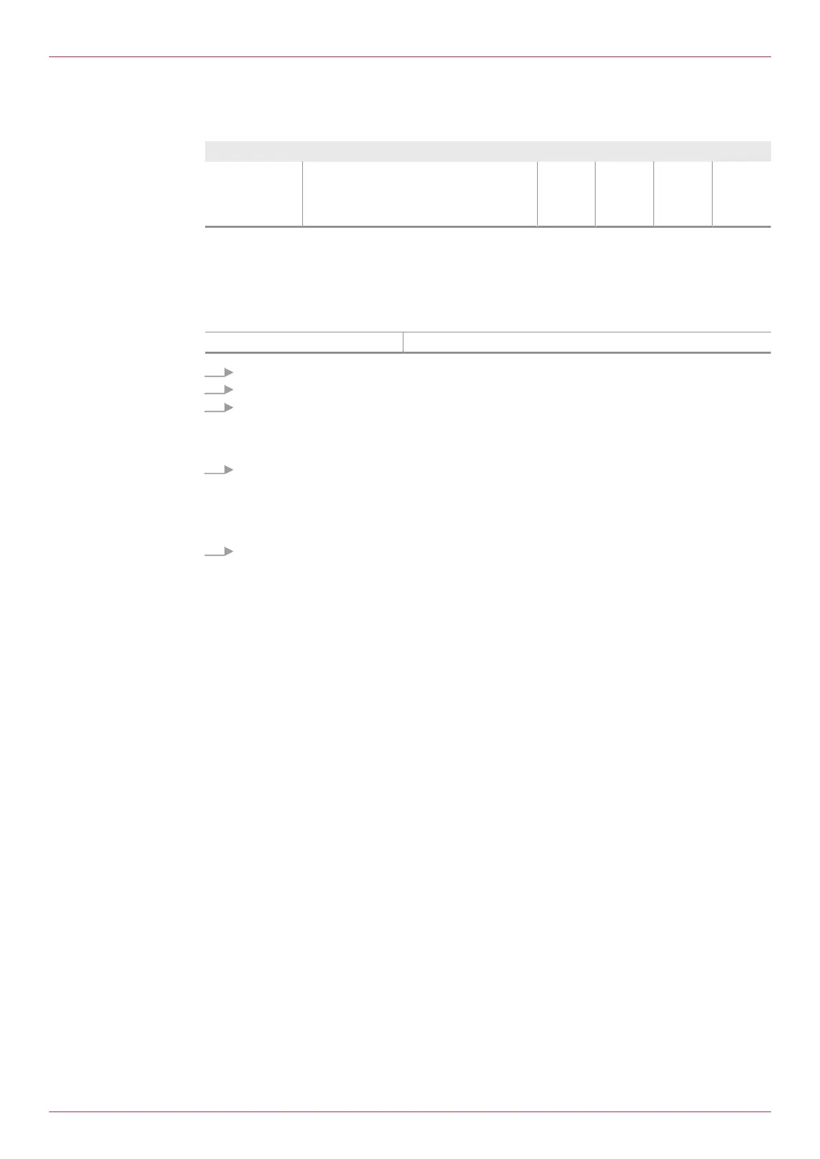
5.2.10 Parameter for clearing error messages
This parameter can only be written by the user.
Name Description Address Type Length DEC
Alarm_Clear Clearing of an error message from the
parameter "Alarm_Read" (0x14) by
overwriting with the error-specific mask
(see Error messages)
0xC4 U32 2 10
0
Tab.19: Parameter for clearing error messages
6 Transportation, storage
6.1 Unpacking and checking the state of delivery
Personnel qualification: o Trained personnel
1. Upon delivery check the product for damage during transportation.
2. Report damage during transportation immediately to the manufacturer.
3. Dispose of packing material in accordance with the locally applicable regulations.
6.2 Transporting the electronic unit
Transport the electronic unit in the original packaging. Observe ambient conditions in the process
Ä Technical data,Page5.
6.3 Storing the electronic unit
Store the electronic unit in the original packaging in a cool and dry place. Observe ambient condi-
tions in the process Ä Technical data,Page5.
Operating instructions
OIE 26en-GB Edition 2021-08
13

Table of Contents

Related product manuals