EasyManua.ls Logo

Lenze EVS9323-ES - Page 78

Lenze EVS9323-ES
189 pages
Print Icon
To Next Page IconTo Next Page
To Next Page IconTo Next Page
To Previous Page IconTo Previous Page
To Previous Page IconTo Previous Page
Loading...
Parameter setting
7-5
BA9300SU EN 2.1
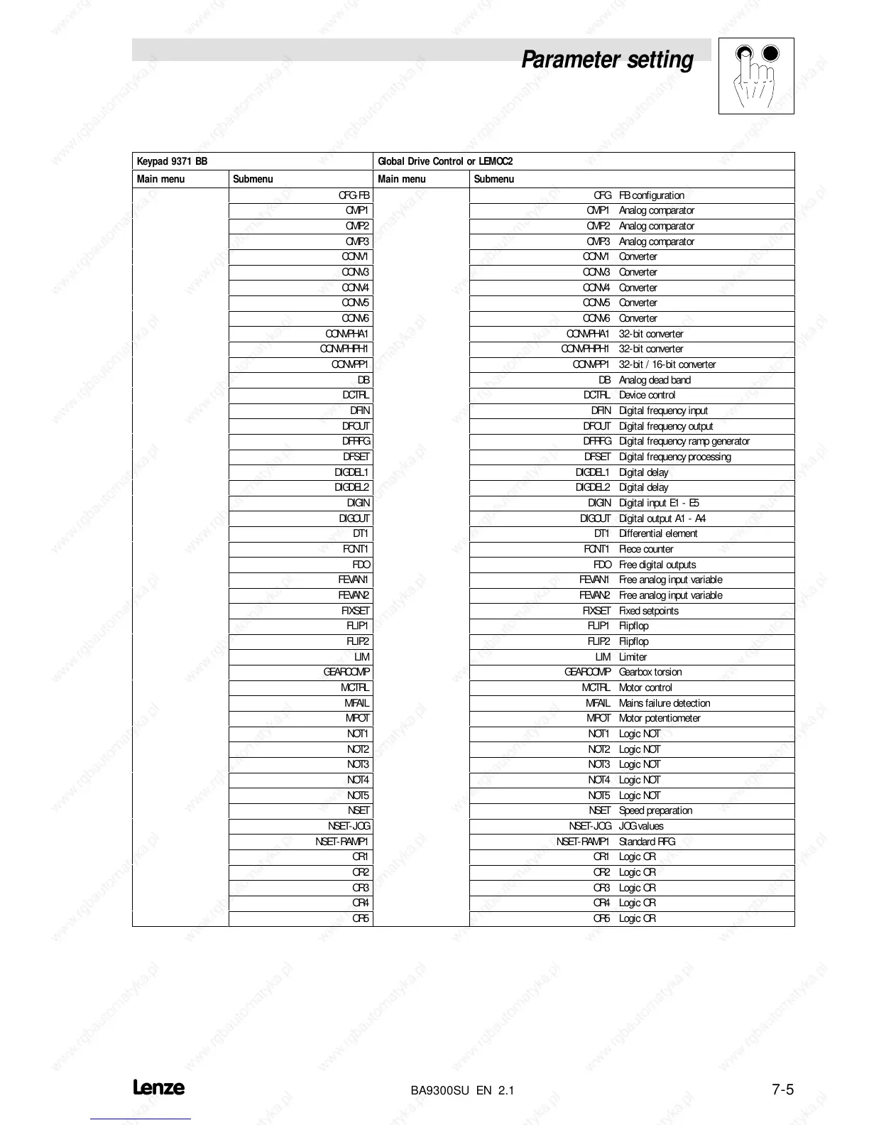
Global Drive Control or LEMOC2Keypad 9371 BB
SubmenuMain menuSubmenuMain menu
CFG-FB CFG FB configuration
CMP1 CMP1 Analog comparator
CMP2 CMP2 Analog comparator
CMP3 CMP3 Analog comparator
CONV1 CONV1 Converter
CONV3 CONV3 Converter
CONV4 CONV4 Converter
CONV5 CONV5 Converter
CONV6 CONV6 Converter
CONVPHA1 CONVPHA1 32-bit converter
CONVPHPH1 CONVPHPH1 32-bit converter
CONVPP1 CONVPP1 32-bit / 16-bit converter
DB DB Analog dead band
DCTRL DCTRL Device control
DFIN DFIN Digital frequency input
DFOUT DFOUT Digital frequency output
DFRFG DFRFG Digital frequency ramp generator
DFSET DFSET Digital frequency processing
DIGDEL1 DIGDEL1 Digital delay
DIGDEL2 DIGDEL2 Digital delay
DIGIN DIGIN Digital input E1 - E5
DIGOUT DIGOUT Digital output A1 - A4
DT1 DT1 Differential element
FCNT1 FCNT1 Piece counter
FDO FDO Free digital outputs
FEVAN1 FEVAN1 Free analog input variable
FEVAN2 FEVAN2 Free analog input variable
FIXSET FIXSET Fixed setpoints
FLIP1 FLIP1 Flipflop
FLIP2 FLIP2 Flipflop
LIM LIM Limiter
GEARCOMP GEARCOMP Gearbox torsion
MCTRL MCTRL Motor control
MFAIL MFAIL Mains failure detection
MPOT MPOT Motor potentiometer
NOT1 NOT1 Logic NOT
NOT2 NOT2 Logic NOT
NOT3 NOT3 Logic NOT
NOT4 NOT4 Logic NOT
NOT5 NOT5 Logic NOT
NSET NSET Speed preparation
NSET-JOG NSET-JOG JOG values
NSET-RAMP1 NSET-RAMP1 Standard RFG
OR1 OR1 Logic OR
OR2 OR2 Logic OR
OR3 OR3 Logic OR
OR4 OR4 Logic OR
OR5 OR5 Logic OR

Table of Contents

Related product manuals