EasyManua.ls Logo

LifeSpan E2i - Heart Rate Monitoring

LifeSpan E2i
52 pages
Print Icon
To Next Page IconTo Next Page
To Next Page IconTo Next Page
To Previous Page IconTo Previous Page
To Previous Page IconTo Previous Page
Loading...
14
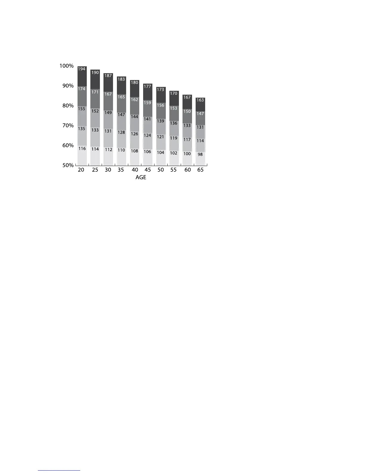
About Your Elliptical
Heart Rate Monitoring
Seeing your heart rate
while exercising will
help you understand the
intensity of your exercise
and corresponding heart
rate training zone, and
predict health benets
found through repeated
bouts of exercise. Refer to
the information below to
understand your heart rate
training zones:
Zone 5 — Performance Redline Zone: 90% - 100% of your Max HR
The performance zone involves extreme eort, requiring the heart to beat
at or near maximum capacity. Training bouts include intense incline or
sprinting, beneting speed, power, and anaerobic performance competency.
Zone 4 — Threshold Zone: 80% - 90% of your Max HR
The threshold zone involves intense jogging or sub-maximal sprinting,
typically unsustainable for long periods of time. Benets include highly-
elevated calorie burn, speed and power performance enhancement,
improved lactate removal capabilities, and enriched heart health.
Zone 3 — Aerobic Zone: 70% - 80% of your Max HR
The aerobic zone is ideal for cardiovascular training. Workouts in this zone
are more intense, involving moderate jogging. Long-term benets are
improved heart health and cardiovascular performance, reductions in blood
pressure and cholesterol, and increased calorie burn.
Zone 2 — Temperate Zone: 60% - 70% of your Max HR
The temperate zone consists of moderate-intensity exercise, typically as fast
walking to slow jogging. Speaking is more dicult and breathing is elevated.
Benets are similar to those of the healthy heart rate zone, though caloric
expenditure is higher.
Zone 1 — Healthy Heart Zone: 50% - 60% of your Max HR
The healthy heart zone involves safe, low-intensity activity, like medium-
to-brisk walking. Full conversations can be held, despite a gentle increase
in respiration. Benets include reduced risk of heart and vascular disease,
moderated blood pressure and cholesterol, and improved insulin sensitivity.

Related product manuals