EasyManua.ls Logo

Marantz DV9600 - Page 49

Marantz DV9600
207 pages
Print Icon
To Next Page IconTo Next Page
To Next Page IconTo Next Page
To Previous Page IconTo Previous Page
To Previous Page IconTo Previous Page
Loading...
47
B/E 2
NG OK
OK
NG
OK
OK
OK
NG
NG
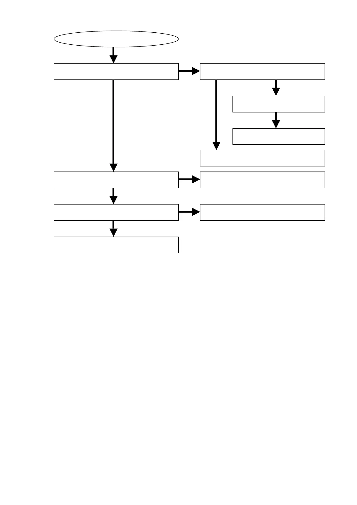
Is the clock waveform of 172pin on Q101
normal? (24.576MHz. 2Vp-p)
Is the 193pin of Q101 H?
Is communication of the data bus on Q102
and Q103 normal?
Finish
Check the waveform of 9pin on Q105.
(24.576MHz 2Vp-p)
Check the waveform of 6pin
on Q111. (24.576MHz)
Check the soldering of R175
and R133.
Check the soldering of X101,
circumference components and Q105.
Check the soldering of Q102 (114pin),
R124, R143, C135 and Q101 (193pin).
Check the soldering of data bus lines.
(MCD0-MCD14 and MCA11-MCA30)

Other manuals for Marantz DV9600

Related product manuals