EasyManua.ls Logo

MKS 902B - Page 31

MKS 902B
58 pages
Print Icon
To Next Page IconTo Next Page
To Next Page IconTo Next Page
To Previous Page IconTo Previous Page
To Previous Page IconTo Previous Page
Loading...
902B Abs Piezo Operation manual
31
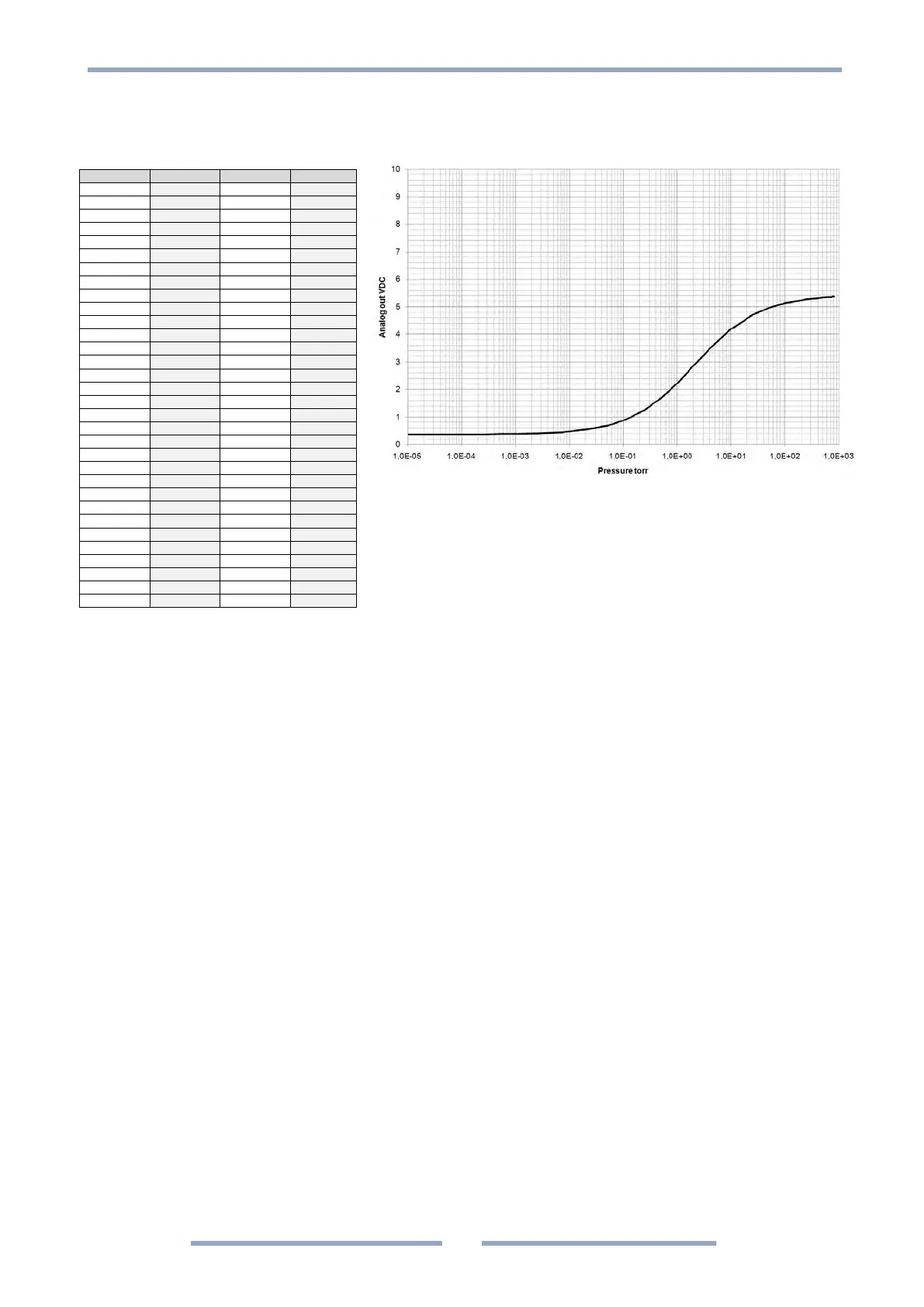
Analog output calibration = 7 (MKS GP275 emulation)
The GP275 emulation provides a strongly non-linear output with very poor resolution in the low range and
close to atmospheric pressure.
Torr
mbar
Pascal
V
out
1.00E-05
1.33E-05
1.33E-03
0.372
1.00E-04
1.33E-04
1.33E-02
0.372
2.50E-04
3.33E-04
3.33E-02
0.376
5.00E-04
6.67E-04
6.67E-02
0.381
7.50E-04
1.00E-03
1.00E-01
0.385
1.00E-03
1.33E-03
1.33E-01
0.388
2.50E-03
3.33E-03
3.33E-01
0.406
5.00E-03
6.67E-03
6.67E-01
0.431
7.50E-03
1.00E-02
1.00E+00
0.452
1.00E-02
1.33E-02
1.33E+00
0.470
2.50E-02
3.33E-02
3.33E+00
0.563
5.00E-02
6.67E-02
6.67E+00
0.682
7.50E-02
1.00E-01
1.00E+01
0.780
1.00E-01
1.33E-01
1.33E+01
0.867
2.50E-01
3.33E-01
3.33E+01
1.255
5.00E-01
6.67E-01
6.67E+01
1.684
7.50E-01
1.00E+00
1.00E+02
1.990
1.00E+00
1.33E+00
1.33E+02
2.228
2.50E+00
3.33E+00
3.33E+02
3.053
5.00E+00
6.67E+00
6.67E+02
3.664
7.50E+00
1.00E+01
1.00E+03
3.986
1.00E+01
1.33E+01
1.33E+03
4.191
2.50E+01
3.33E+01
3.33E+03
4.706
5.00E+01
6.67E+01
6.67E+03
4.965
7.50E+01
1.00E+02
1.00E+04
5.075
1.00E+02
1.33E+02
1.33E+04
5.137
2.50E+02
3.33E+02
3.33E+04
5.274
5.00E+02
6.67E+02
6.67E+04
5.333
6.00E+02
8.00E+02
8.00E+04
5.345
7.00E+02
9.33E+02
9.33E+04
5.353
7.60E+02
1.01E+03
1.01E+05
5.357
8.00E+02
1.07E+03
1.07E+05
5.360

Related product manuals