EasyManua.ls Logo

MKS 902B - Page 35

MKS 902B
58 pages
Print Icon
To Next Page IconTo Next Page
To Next Page IconTo Next Page
To Previous Page IconTo Previous Page
To Previous Page IconTo Previous Page
Loading...
902B Abs Piezo Operation manual
35
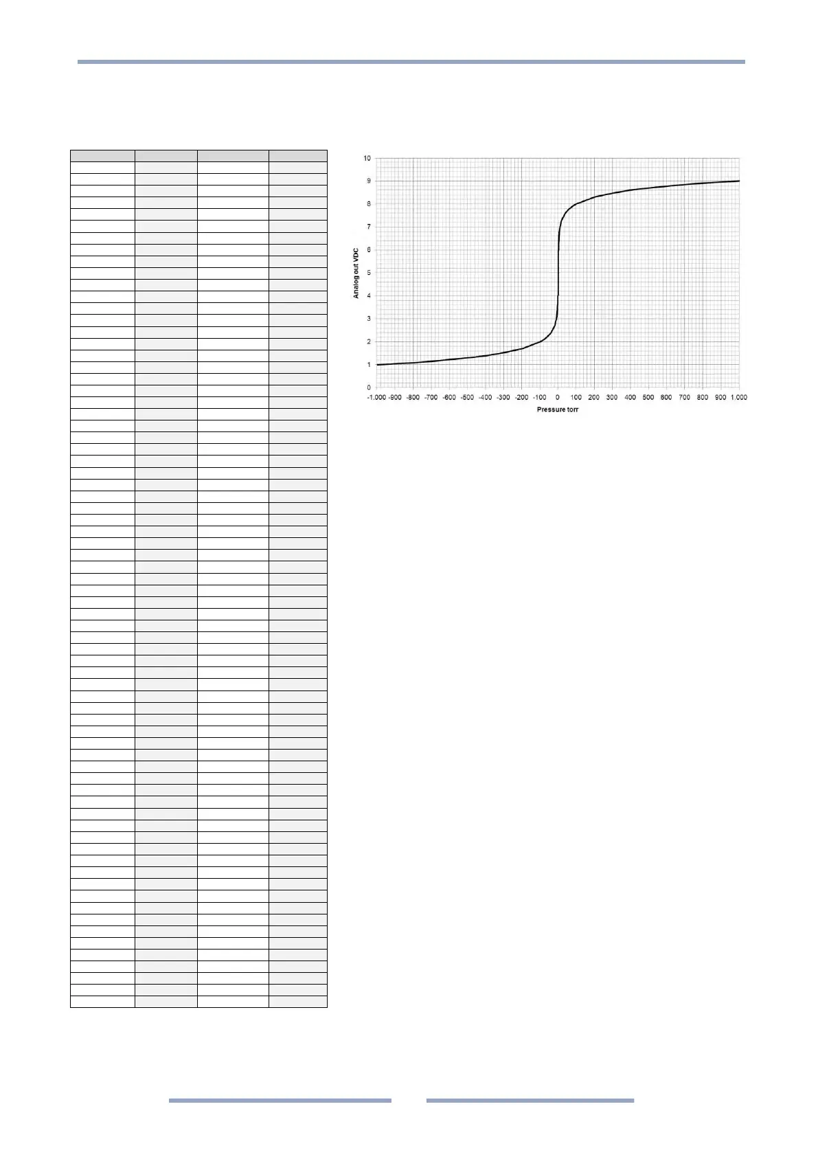
Analog output calibration = 15 (Piezo analog output)
Torr
mbar
Pascal
V
out
-8.00E+2
-1.07E+3
-1.07E+5
1.10
-7.00E+2
-9.33E+2
-9.33E+4
1.15
-6.00E+2
-8.00E+2
-8.00E+4
1.22
-5.00E+2
-6.67E+2
-6.67E+4
1.30
-4.00E+2
-5.33E+2
-5.33E+4
1.40
-3.00E+2
-4.00E+2
-4.00E+4
1.52
-2.00E+2
-2.67E+2
-2.67E+4
1.70
-1.00E+2
-1.33E+2
-1.33E+4
2.00
-9.00E+1
-1.20E+2
-1.20E+4
2.05
-8.00E+1
-1.07E+2
-1.07E+4
2.10
-7.00E+1
-9.33E+1
-9.33E+3
2.15
-6.00E+1
-8.00E+1
-8.00E+3
2.22
-5.00E+1
-6.67E+1
-6.67E+3
2.30
-4.00E+1
-5.33E+1
-5.33E+3
2.40
-3.00E+1
-4.00E+1
-4.00E+3
2.52
-2.00E+1
-2.67E+1
-2.67E+3
2.70
-1.00E+1
-1.33E+1
-1.33E+3
3.00
-9.00E+0
-1.20E+1
-1.20E+3
3.05
-8.00E+0
-1.07E+1
-1.07E+3
3.10
-7.00E+0
-9.33E+0
-9.33E+2
3.15
-6.00E+0
-8.00E+0
-8.00E+2
3.22
-5.00E+0
-6.67E+0
-6.67E+2
3.30
-4.00E+0
-5.33E+0
-5.33E+2
3.40
-3.00E+0
-4.00E+0
-4.00E+2
3.52
-2.00E+0
-2.67E+0
-2.67E+2
3.70
-1.00E+0
-1.33E+0
-1.33E+2
4.00
-9.00E-1
-1.20E+0
-1.20E+2
4.05
-8.00E-1
-1.07E+0
-1.07E+2
4.10
-7.00E-1
-9.33E-1
-9.33E+1
4.15
-6.00E-1
-8.00E-1
-8.00E+1
4.22
-5.00E-1
-6.67E-1
-6.67E+1
4.30
-4.00E-1
-5.33E-1
-5.33E+1
4.40
-3.00E-1
-4.00E-1
-4.00E+1
4.52
-2.00E-1
-2.67E-1
-2.67E+1
4.70
-1.00E-1
-1.33E-1
-1.33E+1
5.00
1.00E-1
1.33E-1
1.33E+1
5.00
2.00E-1
2.67E-1
2.67E+1
5.30
3.00E-1
4.00E-1
4.00E+1
5.48
4.00E-1
5.33E-1
5.33E+1
5.60
5.00E-1
6.67E-1
6.67E+1
5.70
6.00E-1
8.00E-1
8.00E+1
5.78
7.00E-1
9.33E-1
9.33E+1
5.85
8.00E-1
1.07E+0
1.07E+2
5.90
9.00E-1
1.20E+0
1.20E+2
5.95
1.00E+0
1.33E+0
1.33E+2
6.00
2.00E+0
2.67E+0
2.67E+2
6.30
3.00E+0
4.00E+0
4.00E+2
6.48
4.00E+0
5.33E+0
5.33E+2
6.60
5.00E+0
6.67E+0
6.67E+2
6.70
6.00E+0
8.00E+0
8.00E+2
6.78
7.00E+0
9.33E+0
9.33E+2
6.85
8.00E+0
1.07E+1
1.07E+3
6.90
9.00E+0
1.20E+1
1.20E+3
6.95
1.00E+1
1.33E+1
1.33E+3
7.00
2.00E+1
2.67E+1
2.67E+3
7.30
3.00E+1
4.00E+1
4.00E+3
7.48
4.00E+1
5.33E+1
5.33E+3
7.60
5.00E+1
6.67E+1
6.67E+3
7.70
6.00E+1
8.00E+1
8.00E+3
7.78
7.00E+1
9.33E+1
9.33E+3
7.85
8.00E+1
1.07E+2
1.07E+4
7.90
9.00E+1
1.20E+2
1.20E+4
7.95
1.00E+2
1.33E+2
1.33E+4
8.00
2.00E+2
2.67E+2
2.67E+4
8.30
3.00E+2
4.00E+2
4.00E+4
8.48
4.00E+2
5.33E+2
5.33E+4
8.60
5.00E+2
6.67E+2
6.67E+4
8.70
6.00E+2
8.00E+2
8.00E+4
8.78
7.00E+2
9.33E+2
9.33E+4
8.85
8.00E+2
1.07E+3
1.07E+5
8.90
9.00E+2
1.20E+3
1.20E+5
8.95
1.00E+3
1.33E+3
1.33E+5
9.00
For positive pressure (V
out
>5 V)
Piezo pressure = 10
(PZVout-6)
For negative pressure (V
out
<=5V):
-1
Piezo pressure = ——————
10
(PZVout-4)

Related product manuals