EasyManua.ls Logo

MKS 902B - Page 42

MKS 902B
58 pages
Print Icon
To Next Page IconTo Next Page
To Next Page IconTo Next Page
To Previous Page IconTo Previous Page
To Previous Page IconTo Previous Page
Loading...
902B Abs Piezo Operation manual
42
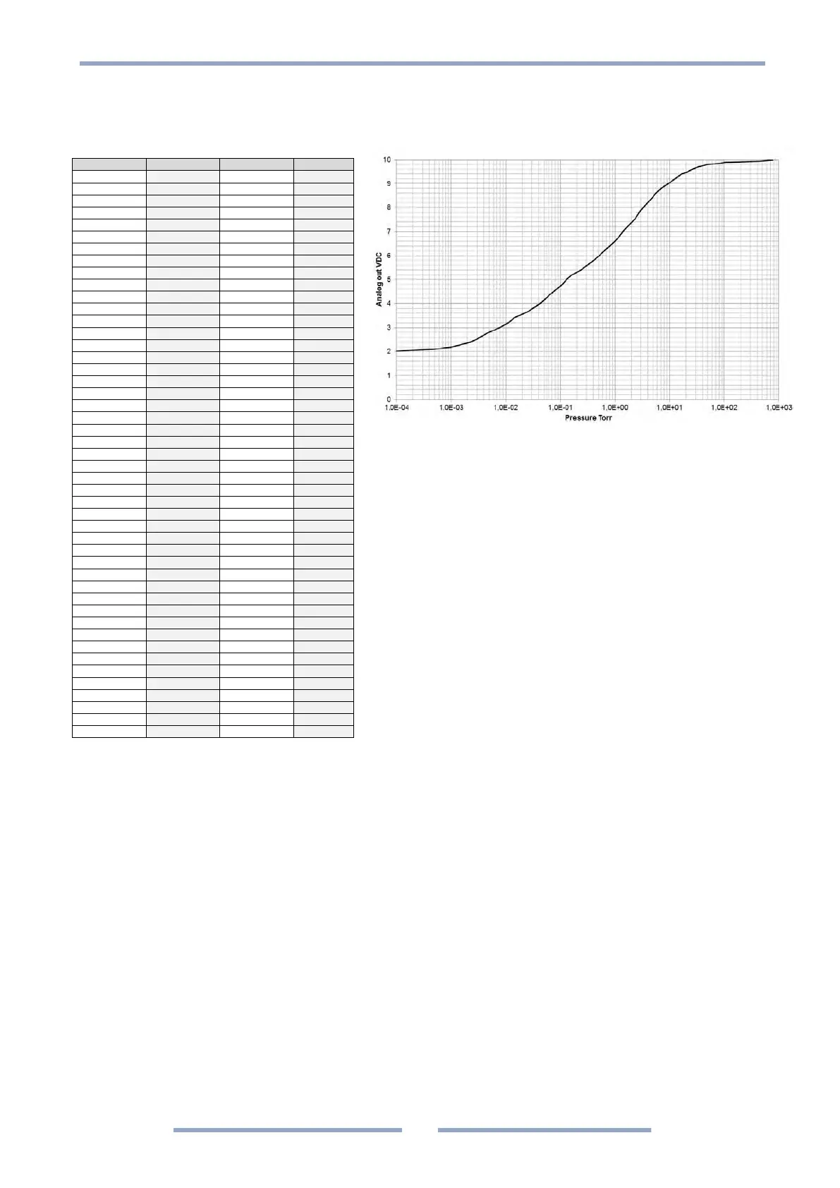
Analog output calibration = 27 (Edwards APG100-M)
The APG100-M emulation provides a strongly non-linear output with limited resolution in the low range and
close to atmospheric pressure
Torr
mbar
Pascal
V
out
7.50E-05
1.00E-04
1.00E-02
2
1.73E-04
2.31E-04
2.31E-02
2.05
4.66E-04
6.21E-04
6.21E-02
2.1
1.02E-03
1.36E-03
1.36E-01
2.2
2.23E-03
2.97E-03
2.97E-01
2.4
3.46E-03
4.61E-03
4.61E-01
2.6
4.88E-03
6.51E-03
6.51E-01
2.8
7.65E-03
1.02E-02
1.02E+00
3
1.10E-02
1.47E-02
1.47E+00
3.2
1.43E-02
1.91E-02
1.91E+00
3.4
2.21E-02
2.95E-02
2.95E+00
3.6
3.12E-02
4.16E-02
4.16E+00
3.8
4.21E-02
5.61E-02
5.61E+00
4
5.40E-02
7.20E-02
7.20E+00
4.2
6.71E-02
8.94E-02
8.94E+00
4.4
8.48E-02
1.13E-01
1.13E+01
4.6
1.09E-01
1.45E-01
1.45E+01
4.8
1.32E-01
1.76E-01
1.76E+01
5
1.67E-01
2.22E-01
2.22E+01
5.2
2.37E-01
3.16E-01
3.16E+01
5.4
3.10E-01
4.13E-01
4.13E+01
5.6
4.05E-01
5.40E-01
5.40E+01
5.8
5.12E-01
6.82E-01
6.82E+01
6
6.31E-01
8.41E-01
8.41E+01
6.2
7.95E-01
1.06E+00
1.06E+02
6.4
9.98E-01
1.33E+00
1.33E+02
6.6
1.20E+00
1.60E+00
1.60E+02
6.8
1.40E+00
1.87E+00
1.87E+02
7
1.70E+00
2.26E+00
2.26E+02
7.2
2.06E+00
2.75E+00
2.75E+02
7.4
2.43E+00
3.24E+00
3.24E+02
7.6
2.80E+00
3.73E+00
3.73E+02
7.8
3.29E+00
4.39E+00
4.39E+02
8
3.97E+00
5.29E+00
5.29E+02
8.2
4.70E+00
6.27E+00
6.27E+02
8.4
5.72E+00
7.63E+00
7.63E+02
8.6
7.04E+00
9.39E+00
9.39E+02
8.8
9.53E+00
1.27E+01
1.27E+03
9
1.25E+01
1.67E+01
1.67E+03
9.2
1.68E+01
2.24E+01
2.24E+03
9.4
2.16E+01
2.88E+01
2.88E+03
9.5
2.65E+01
3.53E+01
3.53E+03
9.6
3.36E+01
4.48E+01
4.48E+03
9.7
4.99E+01
6.65E+01
6.65E+03
9.8
1.06E+02
1.41E+02
1.41E+04
9.9
4.62E+02
6.16E+02
6.16E+04
9.95
7.60E+02
1.00E+03
1.00E+05
10

Related product manuals