EasyManua.ls Logo

MKS 902B - Page 43

MKS 902B
58 pages
Print Icon
To Next Page IconTo Next Page
To Next Page IconTo Next Page
To Previous Page IconTo Previous Page
To Previous Page IconTo Previous Page
Loading...
902B Abs Piezo Operation manual
43
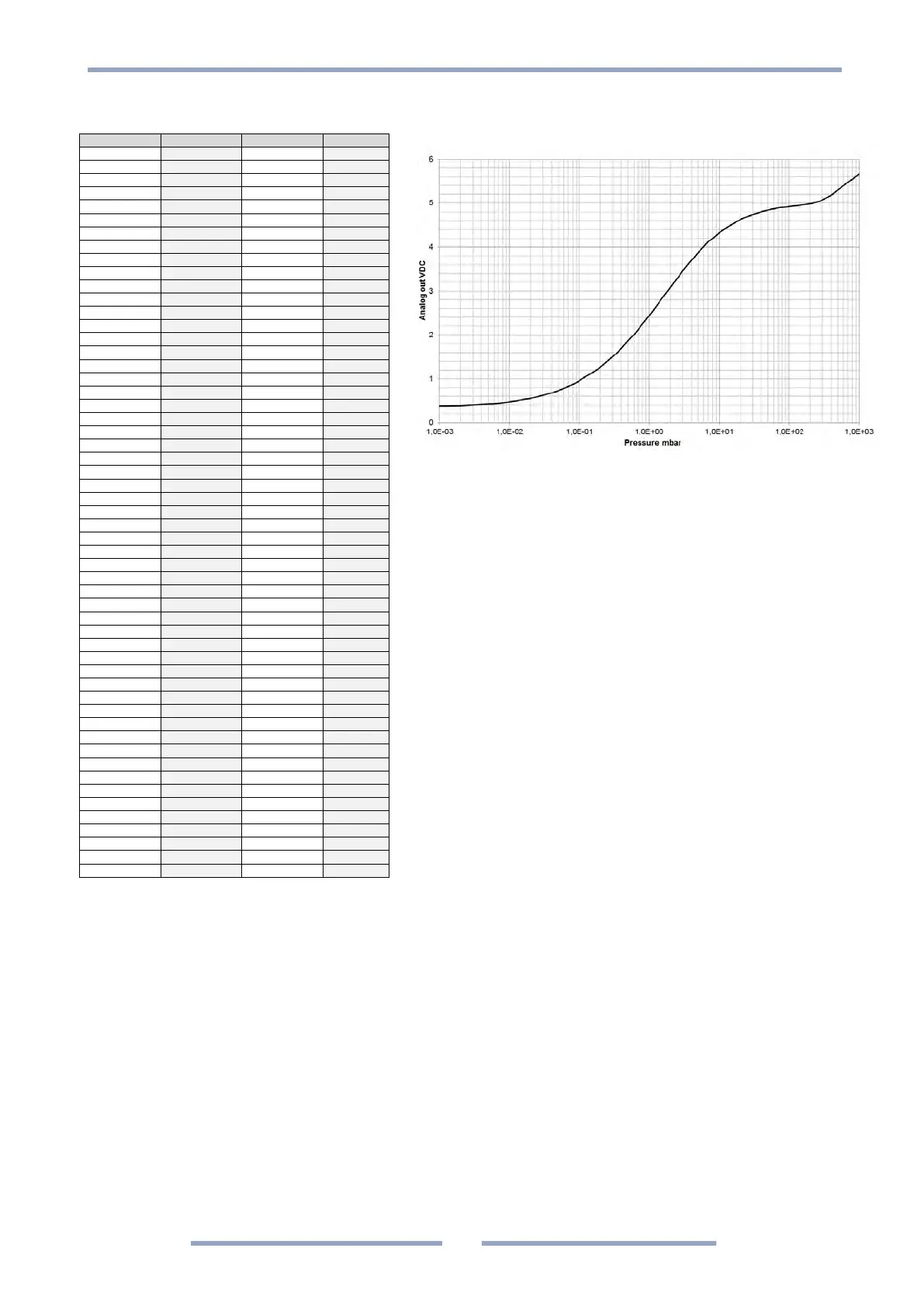
Analog output calibration = 28 (MKS 907)
Torr
mbar
Pascal
V
out
7.50E-04
1.00E-03
1.00E-01
0.387
1.50E-03
2.00E-03
2.00E-01
0.397
3.00E-03
4.00E-03
4.00E-01
0.418
4.50E-03
6.00E-03
6.00E-01
0.437
6.00E-03
8.00E-03
8.00E-01
0.456
7.50E-03
1.00E-02
1.00E+00
0.473
1.50E-02
2.00E-02
2.00E+00
0.551
2.25E-02
3.00E-02
3.00E+00
0.619
3.00E-02
4.00E-02
4.00E+00
0.679
3.75E-02
5.00E-02
5.00E+00
0.733
4.50E-02
6.00E-02
6.00E+00
0.783
5.25E-02
7.00E-02
7.00E+00
0.83
6.00E-02
8.00E-02
8.00E+00
0.874
6.75E-02
9.00E-02
9.00E+00
0.915
7.50E-02
1.00E-01
1.00E+01
0.955
1.50E-01
2.00E-01
2.00E+01
1.271
2.25E-01
3.00E-01
3.00E+01
1.508
3.00E-01
4.00E-01
4.00E+01
1.701
3.75E-01
5.00E-01
5.00E+01
1.864
4.50E-01
6.00E-01
6.00E+01
2.007
5.25E-01
7.00E-01
7.00E+01
2.133
6.00E-01
8.00E-01
8.00E+01
2.246
6.75E-01
9.00E-01
9.00E+01
2.348
7.50E-01
1.00E+00
1.00E+02
2.442
1.50E+00
2.00E+00
2.00E+02
3.083
2.25E+00
3.00E+00
3.00E+02
3.452
3.00E+00
4.00E+00
4.00E+02
3.698
3.75E+00
5.00E+00
5.00E+02
3.875
4.50E+00
6.00E+00
6.00E+02
4.009
5.25E+00
7.00E+00
7.00E+02
4.114
6.00E+00
8.00E+00
8.00E+02
4.198
6.75E+00
9.00E+00
9.00E+02
4.268
7.50E+00
1.00E+01
1.00E+03
4.327
1.50E+01
2.00E+01
2.00E+03
4.627
1.88E+01
2.50E+01
2.50E+03
4.695
2.25E+01
3.00E+01
3.00E+03
4.743
3.00E+01
4.00E+01
4.00E+03
4.805
3.75E+01
5.00E+01
5.00E+03
4.843
4.50E+01
6.00E+01
6.00E+03
4.872
5.25E+01
7.00E+01
7.00E+03
4.891
5.63E+01
7.50E+01
7.50E+03
4.898
6.00E+01
8.00E+01
8.00E+03
4.904
6.75E+01
9.00E+01
9.00E+03
4.914
7.50E+01
1.00E+02
1.00E+04
4.923
1.50E+02
2.00E+02
2.00E+04
4.987
1.88E+02
2.50E+02
2.50E+04
5.025
2.25E+02
3.00E+02
3.00E+04
5.071
3.00E+02
4.00E+02
4.00E+04
5.183
3.75E+02
5.00E+02
5.00E+04
5.301
4.50E+02
6.00E+02
6.00E+04
5.397
5.25E+02
7.00E+02
7.00E+04
5.478
5.63E+02
7.50E+02
7.50E+04
5.514
6.00E+02
8.00E+02
8.00E+04
5.548
6.75E+02
9.00E+02
9.00E+04
5.61
7.60E+02
1.00E+03
1.00E+05
5.666

Related product manuals