EasyManua.ls Logo

Motorola XTS 2500I - DC Supply Fail Troubleshooting Chart (2 of 3)

Motorola XTS 2500I
914 pages
To Next Page IconTo Next Page
To Next Page IconTo Next Page
To Previous Page IconTo Previous Page
To Previous Page IconTo Previous Page
Loading...
6816985H01-F February 14, 2012
700/800 MHz Troubleshooting Charts: DC Supply Fail Troubleshooting Chart (2 of 3) 6.4-7
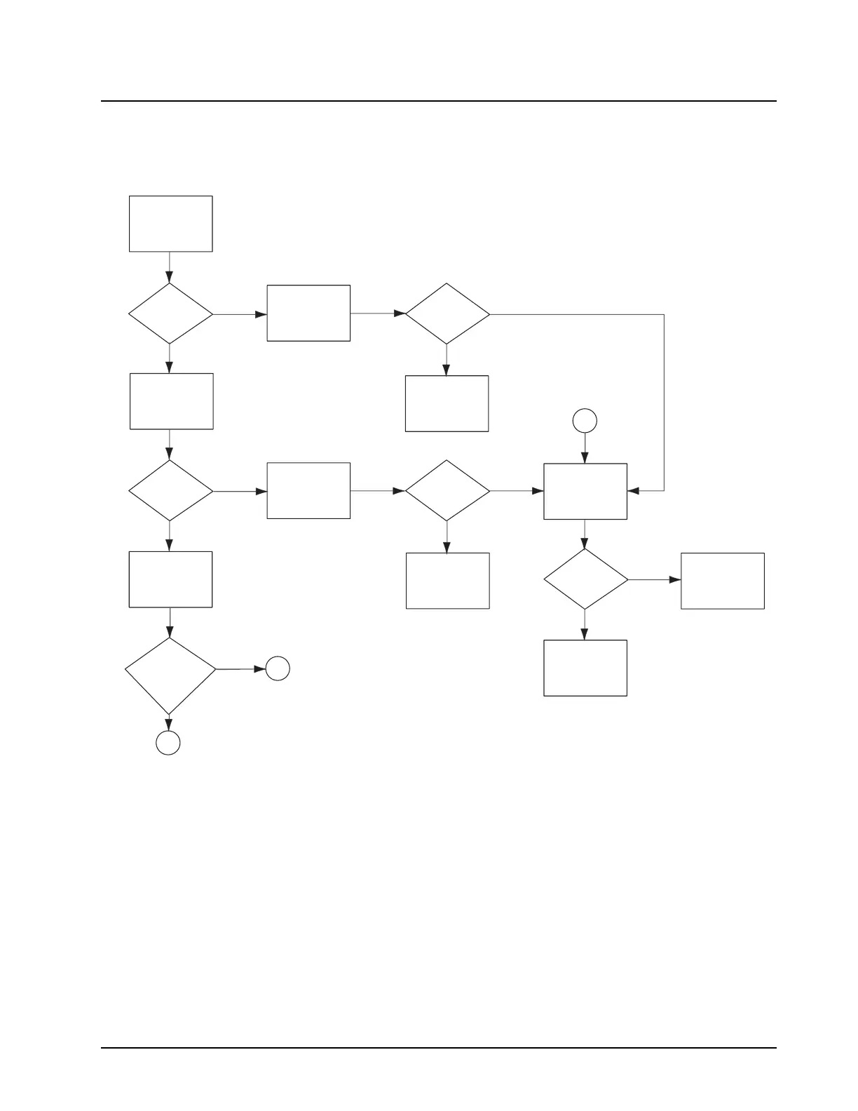
6.4.8 DC Supply Fail Troubleshooting Chart (2 of 3)
MAEPF-27333-O
Check C716,
L703, C865,
and CR801
Replace
Problem
Component
Components
OK?
Fixed?
End
Components
OK?
Replace
Problem
Component
No
Y
es
Y
es
Y
es
Y
es
Y
es
Y
es
No
No
N
o
No
4
5
4
No
Check
Voltage at
pin R711
Voltage =
3.6V +/-
5%
Check
C796, C713,
L701
Check
Voltage at
pin L703
Voltage =
1.875V +/-
5%
Voltage =
2.9V +/-
5%
Check
Voltage at
pin L704
ReFLASH
HOST C
Code
Replace
U701
MAKO IC

Table of Contents

Related product manuals