EasyManua.ls Logo

Munters ML690 - 1.6 Humidity control system

Munters ML690
56 pages
Print Icon
To Next Page IconTo Next Page
To Next Page IconTo Next Page
To Previous Page IconTo Previous Page
To Previous Page IconTo Previous Page
Loading...
DehumidierML420-MLT1400
500
700
900
1100
1300
1500
20
0
40
60
80
100
120
F5
F7
400
Pa
m
3
/h
M 5
F7
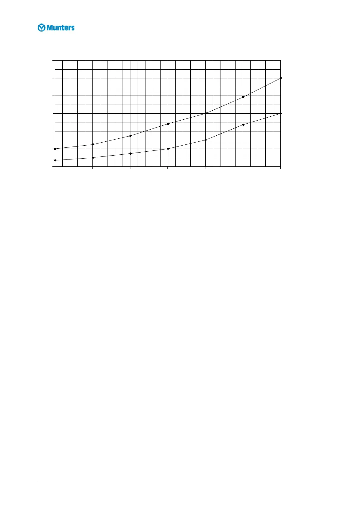
Figure1.1Pressuredrop,lterinthelterbox
NOTE!Thepressuredropforthereactivationsideisnotshownonthediagramsincethevaluesaresosmallthat
theydonotaffecttheperformanceoftheunit.
1.6Humiditycontrolsystem
1.6.1Introduction
MuntersRH98andVariDryarehumiditycontrolsystemsintendedforusewithMuntersdehumidiers.
Theycontroltheairhumiditybyregulatingthepowertotheunitreactivationheater.
Thesystemcomprisesahumiditytransmitterandacontrolunit.Thehumiditytransmitterisatruetwo
wiretransmitter,whichispositionedwheretheairhumidityistobecontrolled,eitherintherelevantroom
orintheairduct.
Thecontrolunitsendscontrolsignalstothedehumidier.Thepowercontrolisperformedinoneortwo
steps.
Thesystemhasapotentialfreecontacttowhichanexternalalarmdevicecanbeconnected.
1.6.2Transmitter
Thehumiditytransmittersareavailableintwodifferenttypes,wallorductmounted.
Thehumiditytransmittersensoremitsasignalproportionaltotheairhumidity.
Thesignalisampliedandsenttothecontrolunitbycable.
Thehumiditytransmittersensorissensitiveandmustbehandledwithcare.
1.6.3Controlunit
Thecontrolunitcontainsacontroller,whichreceivesthesignalfromthehumiditytransmitter.The
controllerthensendsacontrolsignaltothedehumidierwhichdeterminesthereactivationheateroutput.
42Options190TGB-1035-H1604

Table of Contents

Related product manuals