EasyManua.ls Logo

Nokia E60 - Page 17

Nokia E60
113 pages
Print Icon
To Next Page IconTo Next Page
To Next Page IconTo Next Page
To Previous Page IconTo Previous Page
To Previous Page IconTo Previous Page
Loading...
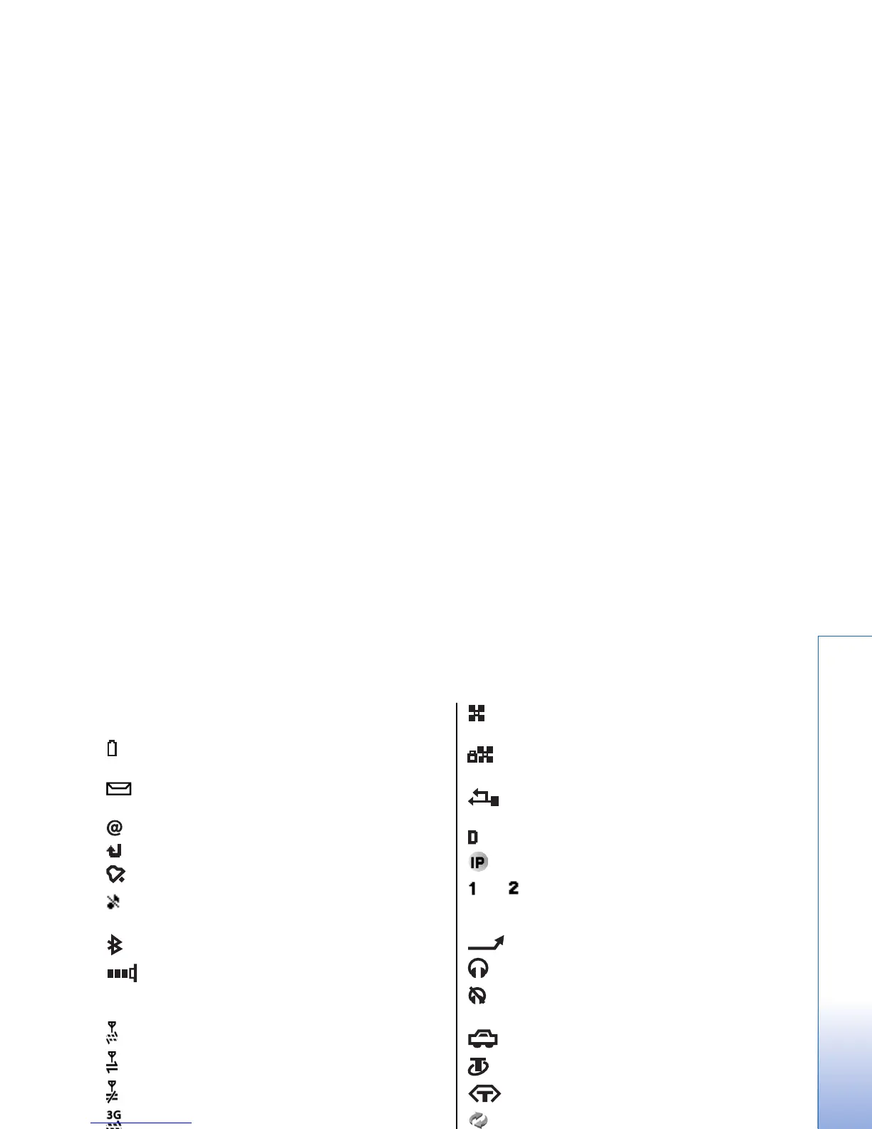
strength of the network at your current location. The
higher the bar, the stronger the signal.
The battery charge level. The higher the bar, the
stronger the charge in the battery.
You have one or more unread messages in the
Inbox folder in Messag..
You have received new e-mail in the remote mailbox.
You have one or more missed phone calls.
An alarm is active.
You have selected the silent profile, and the device
does not ring for an incoming call or message.
Bluetooth is activated.
An infrared connection is active. If the indicator
blinks, your device is trying to connect to the other device,
or the connection has been lost.
A GPRS or EGPRS packet data connection is available.
A GPRS or EGPRS packet data connection is active.
A GPRS or EGPRS packet data connection is on hold.
A UMTS packet data connection is available.
A UMTS packet data connection is active.
A UMTS packet data connection is on hold.
You have set the device to scan for wireless LANs, and
a wireless LAN is available.
A wireless LAN connection is active in a network that
does not have encryption.
A wireless LAN connection is active in a network that
has encryption.
Your device is connected to a PC with a USB data
cable.
A data call is active.
IP passthrough is active.
and Indicate the phone line that you have selected,
if you have subscribed to two phone lines (network
service).
All calls are forwarded to another number.
A headset is connected to the device.
The connection to a headset with Bluetooth
connectivity has been lost.
A hands-free car kit is connected to the device.
A loopset is connected to the device.
A Text phone is connected to the device.
Your device is synchronizing.
You have an ongoing push to talk connection.
17
Get started
file:///C:/USERS/MODEServer/zmao/15544327/rm-49_mars/en/issue_3/rm-49_mars_en_3.xml Page 17 Feb 23, 2006 10:58:54 AMfile:///C:/USERS/MODEServer/zmao/15544327/rm-49_mars/en/issue_3/rm-49_mars_en_3.xml Page 17 Feb 23, 2006 10:58:54 AM

Table of Contents

Other manuals for Nokia E60

Related product manuals