EasyManua.ls Logo

Panasonic FP-X0 L40MR - Processing During Forced Input and Output

Panasonic FP-X0 L40MR
290 pages
To Next Page IconTo Next Page
To Next Page IconTo Next Page
To Previous Page IconTo Previous Page
To Previous Page IconTo Previous Page
Loading...
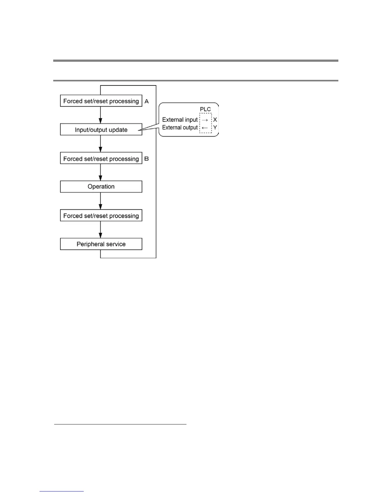
11.5 Processing During Forced Input and Output
11.5.1 Processing When Forced Input/Output is Initiated During RUN
1. Processing of external input (X)
- Regardless of the state of the input from the input device, forced on/off operation will take precedence
at a contact specified for forced input/output in the above procedure B. At this time, the input LED will
not blink, however, the area of input X in the operation memory will be rewritten.
- As for contacts not specified, the on/off state will be read according to the input status from the input
device.
2. Processing of external output (Y)
- Regardless of the state of the result of operation, forced on/off will take precedence at a contact
specified for forced input/output in the above procedure A. At this time, the area of output Y in the
operation memory will be forcibly rewritten. External output will take place according to the input/output
update timing in the above diagram.
- The on/off state of contacts not specified will be determined by the operation result.
3. Processing of Timer (T) and Counter (C)
- Regardless of the timer/counter input condition, forced on/off operation will take precedence at a
contact specified for forced input/output. At this time, the contact of the timer (T) or counter (C) in the
operation memory will be rewritten. Timing and counting will not take place during control.
- The on/off state of contacts not specified will be determined by the operation result.
Operation during operation
For small-sized PLCs FP0, FP0R, FPΣ and FP-X
The internal relay R or output Y specified by OT or KP instruction is rewritten according to the results of
operation. However, as the R or Y is set/reset again right before the peripheral service (as the above
procedure C), the monitoring value with the tooling software or the output to external devices is forcibly
rewritten to a specified value.
Phone: 800.894.0412 - Fax: 888.723.4773 - Web: www.clrwtr.com - Email: info@clrwtr.com

Table of Contents

Related product manuals