EasyManua.ls Logo

Panasonic KX-W1500

Panasonic KX-W1500
116 pages
To Next Page IconTo Next Page
To Next Page IconTo Next Page
To Previous Page IconTo Previous Page
To Previous Page IconTo Previous Page
Loading...
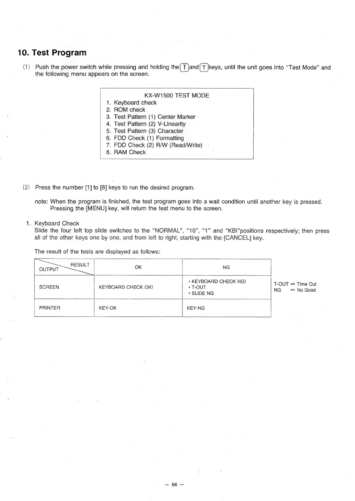
10.
Test
Program
(1)
Push
the
power
switch
while
pressing
and
holding
the(T
Jand(T
keys,
until
the
unit
goes
into
“Test
Mode”
and
the
following
menu
appears
on
the
screen.
KX-W1500
TEST
MODE
.
Keyboard
check
.
ROM
check.
.
Test
Pattern
(1)
Center
Marker
.
.
Test
Pattern
(2)
V-Linearity
.
Test
Pattern
(3)
Character
.
FDD
Check
(1)
Formatting
.
FDD
Check
(2)
R/W
(Read/Write)
.
RAM
Check
ONoOnhONM
(2)
Press
the
number
[1]
to
[8]
keys
to
run
the
desired
program.
note:
When
the
program
is
finished,
the
test
program
goes
into
a
wait
condition
until
another
key
is
pressed.
Pressing
the
[MENU]
key,
will
return
the
test
menu
to
the
screen.
1.
Keyboard
Check
Slide
the
four
left
top
slide
switches
to
the
“NORMAL”,
“10”,
“1”
and
“KBI”positions
respectively;
then
press
all
of
the
other
keys
one
by
one,
and
from
left
to
right,
starting
with
the
[CANCEL]
key.
The
result
of
the
tests
are
displayed
as
follows:
RESULT
NG
OUTPUT
*
KEYBOARD
CHECK
NG!
T-OUT
=
Time
Out
SCREEN
KEYBOARD
CHECK
OK!
*
T-OUT
ss
*
SLIDE
NG NG
No
Good
PRINTER
KEY-OK
KEY-NG
166.

Related product manuals