EasyManua.ls Logo

Partlow MIC 1400 - Page 43

Partlow MIC 1400
71 pages
Print Icon
To Next Page IconTo Next Page
To Next Page IconTo Next Page
To Previous Page IconTo Previous Page
To Previous Page IconTo Previous Page
Loading...
MIC 1400 ManualEdition 1 43
Process Low Alarm 2 Value
This parameter, applicable only when Alarm 2 is selected to be a Process
Low Alarm, defines the process variable value at or below which Alarm 2
will be active. Its value may be adjusted between Input Range Maximum
and Input Range Minimum. Its default value is Input Range Minimum.
Display code is PLA2.
Band Alarm 2 Value
This parameter, applicable only if Alarm 2 is selected to be a Band Alarm,
defines a band of process variable values, centered on the setpoint value.
If the process variable is outside this band, the alarm will be active. This
parameter may be adjusted from 0 to span from the setpoint. The default
value is 5. Display code is bAL2.
Deviation Alarm 2 Value
This parameter, applicable only if Alarm 2 is selected to be a Deviation
High/Low Alarm, defines a value above (positive value - Deviation High
Alarm) or below (negative value - Deviation Low Alarm) the setpoint; if the
process variable deviates from the setpoint by a margin greater than that
defined by this parameter, Alarm 2 goes active. This parameter may be
adjusted in the range ± span from setpoint. The default value is 5. Display
code is dAL2.
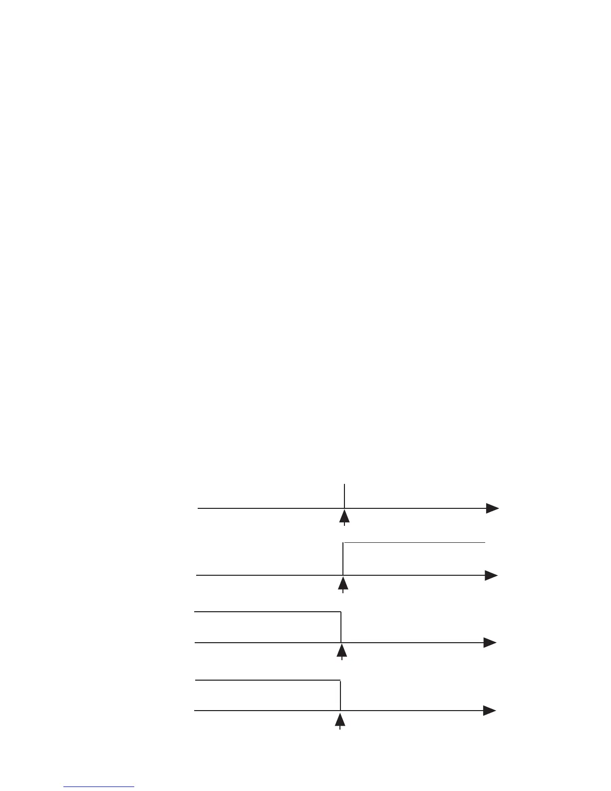
Process High Alarm
direct-acting
Process High Alarm
reverse-acting
Process Low Alarm
direct-acting
Process Low Alarm
reverse-acting
PV
"ALM" Off
Relay Off
"ALM" flashes
Relay On
ALARM POINT
PV
"ALM" Off
Relay On
"ALM" flashes
Relay Off
ALARM POINT
PV
"ALM" Off
Relay Off
"ALM" flashes
Relay On
ALARM POINT
PV
"ALM" Off
Relay On
"ALM" flashes
Relay Off
ALARM POINT

Related product manuals