EasyManua.ls Logo

Realistic TRC-449 - Capacitor Specifications (Continued)

Realistic TRC-449
46 pages
Print Icon
To Next Page IconTo Next Page
To Next Page IconTo Next Page
To Previous Page IconTo Previous Page
To Previous Page IconTo Previous Page
Loading...
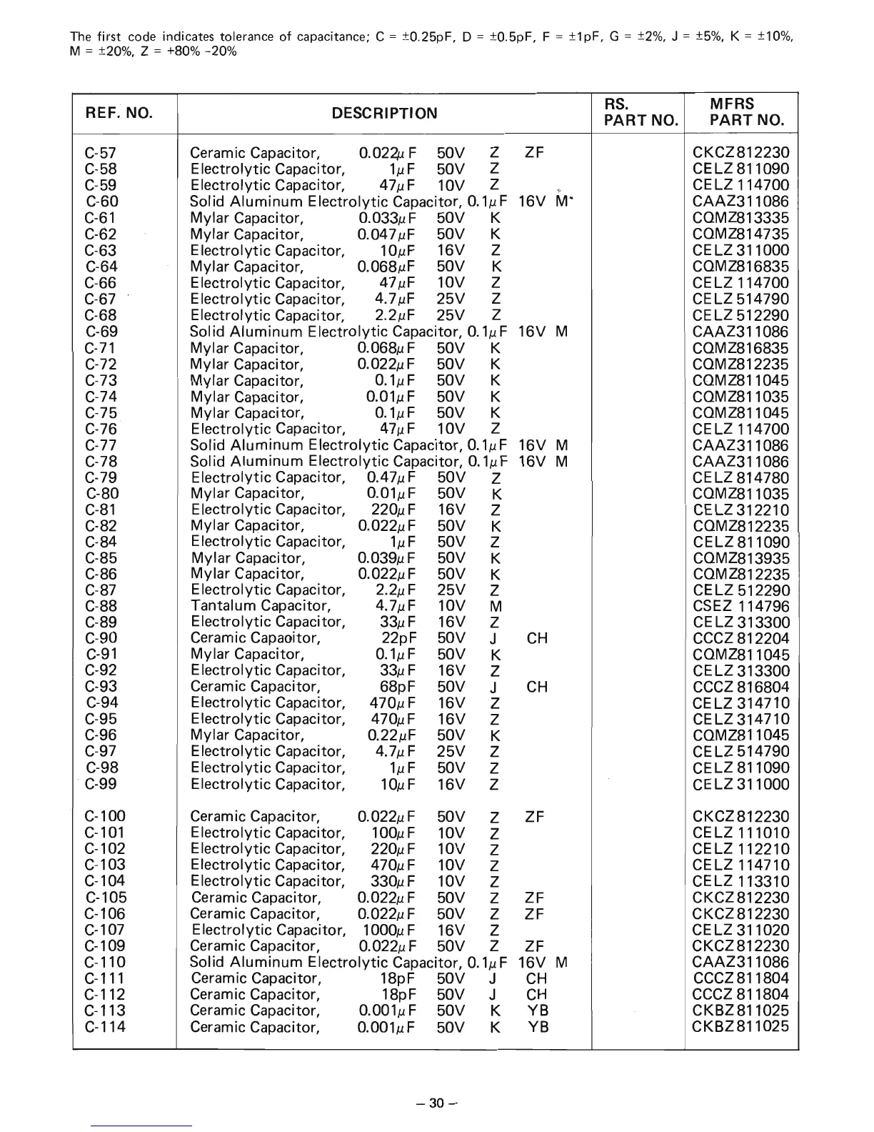
The
first
code indicates tolerance
of
capacitance; C = ±0.25pF, D = ±0.5pF, F =
±1
pF, G =
±2%,
J = ±5%, K = ±10%,
M
= ±20%, Z = +80% -20%
REF. NO.
DESCRIPTION
RS.
MFRS
PART NO.
PART NO.
C-57
Ceramic Capacitor, 0.022p F
50V Z ZF
CKCZ812230
C-58
Electrolytic Capacitor,
1p
F
50V Z
CELZ 811090
C-59
Electrolytic Capacitor, 47pF
10V
Z
l'
CELZ 114700
C-60
Solid Aluminum Electrolytic Capacitor,
0.1p F
16V
Moo
CAAZ311086
C-61
Mylar Capacitor,
0.033pF
50V
K COMZ813335
C-62
Mylar Capacitor,
0.047pF
50V
K
COMZ814735
C-63
Electrolytic Capacitor,
10pF
16V Z CELZ 311000
C-64 Mylar Capacitor,
0.068pF
50V
K COMZ816835
C-66
Electrolytic Capacitor, 47pF
10V Z
CELZ 114700
C-67
Electrolytic Capacitor,
4.7pF
25V Z
CELZ 514790
C-68 Electrolytic Capacitor,
2.2pF
25V
Z
CELZ 512290
C-69
Solid Aluminum Electrolytic Capacitor, 0.1pF
16V M
CAAZ311086
C-71
Mylar Capacitor,
0.068pF
50V K COMZ816835
C-72 Mylar Capacitor,
0.022pF
50V
K COMZ812235
C-73 Mylar Capacitor,
0.1pF
50V K CQMZ811045
C-74 Mylar Capacitor,
0.01pF
50V
K COMZ811035
C-75 Mylar Capacitor,
0.1pF
50V K
COMZ811045
C-76
Electrolytic Capacitor,
47pF
10V Z
CELZ 114700
C-77
Solid Aluminum Electrolytic Capacitor, 0.1p F
16V M
CAAZ311086
C-78
Solid Aluminum Electrolytic Capacitor,
O.
1p
F
16V M
CAAZ311086
C-79 Electrolytic Capacitor,
0.47pF 50V
Z
CELZ 814780
C-80
Mylar Capacitor,
0.01pF 50V
K
COMZ811035
C-
81
Electrolytic Capacitor,
220pF
16V
Z
CELZ 312210
C-82
Mylar Capacitor,
0.022pF
50V
K
COMZ812235
C-84 Electrolytic Capacitor,
1p
F
50V
Z
CELZ 811090
C-85
Mylar Capacitor,
0.039pF 50V
K
COMZ813935
C-86 Mylar Capacitor,
0.022pF
50V
K
COMZ812235
C-87
Electrolytic Capacitor,
2.2pF
25V
Z
CELZ 512290
C-88 Tantalum Capacitor, 4.7pF
10V
M
CSEZ 114796
C-89
Electrolytic Capacitor,
33pF
16V
Z
CELZ 313300
C-90
Ceramic Capaoitor,
22pF 50V
J
CH
CCCZ
812204
C-91
Mylar Capacitor,
0.1pF
50V
K
COMZ811045
C-92 Electrolytic Capacitor,
33pF
16V
Z
CELZ 313300
C-93
Ceramic Capacitor,
68pF
50V
J
CH
CCCZ
816804
C-94 Electrolytic Capacitor,
470pF
16V
Z CELZ 314710
C-95
Electrolytic Capacitor,
470pF
16V
Z
CELZ 314710
C-96
Mylar Capacitor,
0.22pF
50V
K
COMZ811045
C-97
Electrolytic Capacitor, 4.7pF
25V
Z CELZ 514790
C-98
Electrolytic Capacitor,
1pF
50V
Z CELZ 811090
C-99
Electrolytic Capacitor, 10pF
16V Z
CELZ 311000
C-100
Ceramic Capacitor,
0.022pF
50V
Z
ZF
CKCZ812230
C-101
Electrolytic Capacitor,
100pF
10V
Z
CELZ 111010
C-102 Electrolytic Capacitor,
220pF
10V
Z
CELZ
112210
C-103 Electrolytic Capacitor,
470pF
10V
Z
CELZ 114710
C-104
Electrolytic Capacitor,
330pF
10V
Z CELZ 113310
C-105 Ceramic Capacitor,
0.022p F
50V
Z
ZF
CKCZ812230
C-106
Ceramic Capacitor,
0.022pF
50V Z ZF
CKCZ812230
C-107 Electrolytic Capacitor,
1000p F
16V Z
CELZ 311020
C-109
Ceramic Capacitor,
0.022pF
50V Z ZF
CKCZ812230
C-110
Solid Aluminum Electrolytic Capacitor,
0.1p F
16V M
CAAZ311086
C-111
Ceramic Capacitor,
18pF
50V
J
CH
CCCZ811804
C-112
Ceramic Capacitor, 18pF
50V
J
CH
CCCZ
811804
C-113
Ceramic Capacitor,
0.001p F
50V
K
YB CKBZ811025
C-114 Ceramic Capacitor,
0.001p F
50V K YB
CKBZ811025
-30-

Other manuals for Realistic TRC-449

Related product manuals