EasyManua.ls Logo

Realistic TRC-449 - Capacitor Specifications (Continued)

Realistic TRC-449
46 pages
Print Icon
To Next Page IconTo Next Page
To Next Page IconTo Next Page
To Previous Page IconTo Previous Page
To Previous Page IconTo Previous Page
Loading...
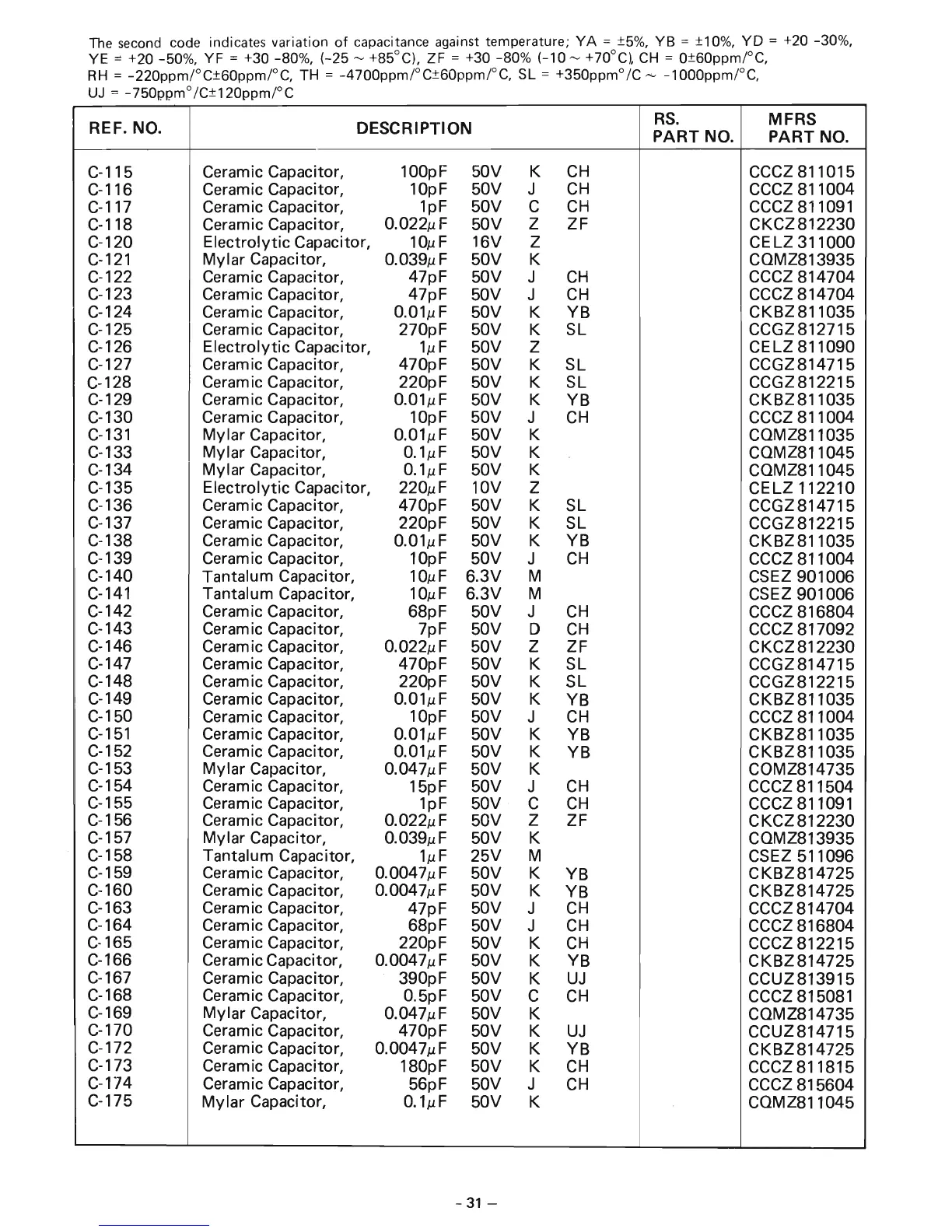
The
second code indicates variation
of
capacitance against temperature;
YA
= ±5%,
YB
= ±10%,
YO
= +20 -30%,
YE
:::
+20 -50%,
YF
= +30 -80%,
(-25
~
+85°C),
ZF
= +30
-80%
(-10
~
+70°
C),
CH
= Q±60ppm;oC,
RH
=
-220ppmrC±60ppm;oC,
TH =
-4700ppm/
oC±60ppm
;o
C,
SL
= +350ppmo
IC
--
-1000ppm;oC,
UJ
=
-750ppm
o IC±120ppm;oC
..
REF. NO.
DESCRIPTION
RS.
MFRS
PART
NO.
PART
NO.
C-115
Ceramic Capacitor,
100pF
50V
K
CH
CCCZ
811015
C-116
Ceramic Capacitor,
10pF
50V
J
CH
CCCZ
811004
C-117
Ceramic Capacitor,
1pF
50V
C
CH
CCCZ 811091
C-118
Ceramic Capacitor,
0.022Jl F
50V
Z ZF
CKCZ812230
C-120
Electrolytic
Capacitor,
10Jl
F
16V
Z
CELZ
311000
C-121
Mylar
Capacitor,
0.039JlF
50V
K
COMZ813935
C-122
Ceramic Capacitor,
47pF
50V
J
CH
CCCZ
814704
C-123 Ceramic Capacitor,
47pF
50V
J
CH
CCCZ
814704
C-124
Ceramic Capacitor,
0.01JlF
50V
K
YB
CKBZ811035
C-1Z5 Ceramic Capacitor,
270pF
50V
K
SL
CCGZ812715
C-126
Electrolytic
Capacitor,
1Jl
F
50V
Z
CELZ
811090
C-127 Ceramic Capacitor,
470pF
50V
K
SL
CCGZ814715
C-128
Ceramic Capacitor, 220pF
50V K SL
CCGZ812215
C-129 Ceramic Capacitor,
0.01JlF
50V
K
YB
CKBZ811035
C-130 Ceramic Capacitor, 10pF
50V
J
CH
CCCZ
811004
C-131
Mylar
Capacitor,
0.01JlF
50V
K
COMZ811035
C-133
Mylar
Capacitor,
O.
1Jl
F
50V
K COMZ811045
C-134
Mylar
Capacitor,
0.1Jl
F
50V
K
COMZ811045
C-135
Electrolytic
Capacitor,
220JlF
10V
Z
CELZ
112210
C-136 Ceramic Capacitor,
470pF
50V
K SL
CCGZ814715
C-137 Ceramic Capacitor, 220pF
50V
K SL
CCGZ812215
C-138 Ceramic Capacitor,
0.01Jl
F
50V
K
YB
CKBZ811035
C-139
Ceramic Capacitor, 10pF
50V
J
CH
CCCZ
811004
C-140
Tantalum Capacitor,
10JlF
6.3V
M
CSEZ
901006
C-141
Tantalum Capacitor,
10JlF
6.3V
M
CSEZ
901006
C-142
Ceramic Capacitor,
68pF
50V
J
CH
CCCZ
816804
C-143
Ceramic Capacitor, 7pF
50V
D
CH
CCCZ
817092
C-146 Ceramic Capacitor,
0.022JlF
50V
Z
ZF
CKCZ812230
C-147
Ceramic Capacitor,
470pF
50V
K
SL
CCGZ814715
C-148
Ceramic Capacitor, 220pF
50V
K
SL
CCGZ812215
C-149
Ceramic Capacitor,
0.01Jl F
50V
K
YB
CKBZ811035
C-150 Ceramic Capacitor, 10pF
50V
J
CH
CCCZ
811004
C-151
Ceramic Capacitor,
0.01JlF
50V
K
YB
CKBZ811035
C-152 Ceramic Capacitor,
0.01Jl F
50V
K
YB
CKBZ811035
C-153
Mylar
Capacitor,
0.047JlF
50V
K
COMZ814735
C-154
Ceramic Capacitor,
15pF
50V
J
CH
CCCZ
811504
C-155
Ceramic Capacitor, 1pF
50V
C
CH
CCCZ 811091
C-156 Ceramic Capacitor,
0.022JlF
50V
Z
ZF
CKCZ812230
C-157
Mylar
Capacitor,
0.039JlF
50V
K
COMZ813935
C-158
Tantalum Capacitor,
1Jl
F
25V
M
CSEZ 511096
C-159
Ceramic Capacitor,
0.0047JlF
50V
K
YB
CKBZ814725
C-160
Ceramic Capacitor,
0.0047JlF
50V
K
YB
CKBZ814725
C-163 Ceramic Capacitor,
47pF
50V
J
CH
CCCZ814704
C-164 Ceramic Capacitor, 68pF
50V
J
CH
CCCZ
816804
C-165 Ceramic Capacitor,
220pF
50V
K
CH
CCCZ
812215
C-166 Ceramic Capacitor,
0.0047JlF
50V
K
VB
CKBZ814725
C-167
Ceramic Capacitor,
390pF
50V
K
UJ
CCUZ813915
C-168
Ceramic Capacitor,
0.5pF
50V
C
CH
CCCZ 815081
C-169
Mylar
Capacitor,
0.047JlF
50V
K
COMZ814735
C-170
Ceramic
Capacitor,
470pF
50V
K
UJ
CCUZ814715
C-172
Ceramic Capacitor,
0.0047JlF
50V
K
VB
CKBZ814725
C-173
Ceramic Capacitor,
180pF
50V
K
CH
CCCZ
811815
C-174
Ceramic Capacitor,
56pF
50V J
CH
CCCZ
815604
C-175
Mylar
Capacitor,
O.
1Jl
F
50V
K
COMZ811045
-
31
-

Other manuals for Realistic TRC-449

Related product manuals