EasyManua.ls Logo

Simplicity Regent Hydro-Gear 0650 Series

Simplicity Regent Hydro-Gear 0650 Series
201 pages
To Next Page IconTo Next Page
To Next Page IconTo Next Page
To Previous Page IconTo Previous Page
To Previous Page IconTo Previous Page
Loading...
7 - 13
7 Electrical System Service
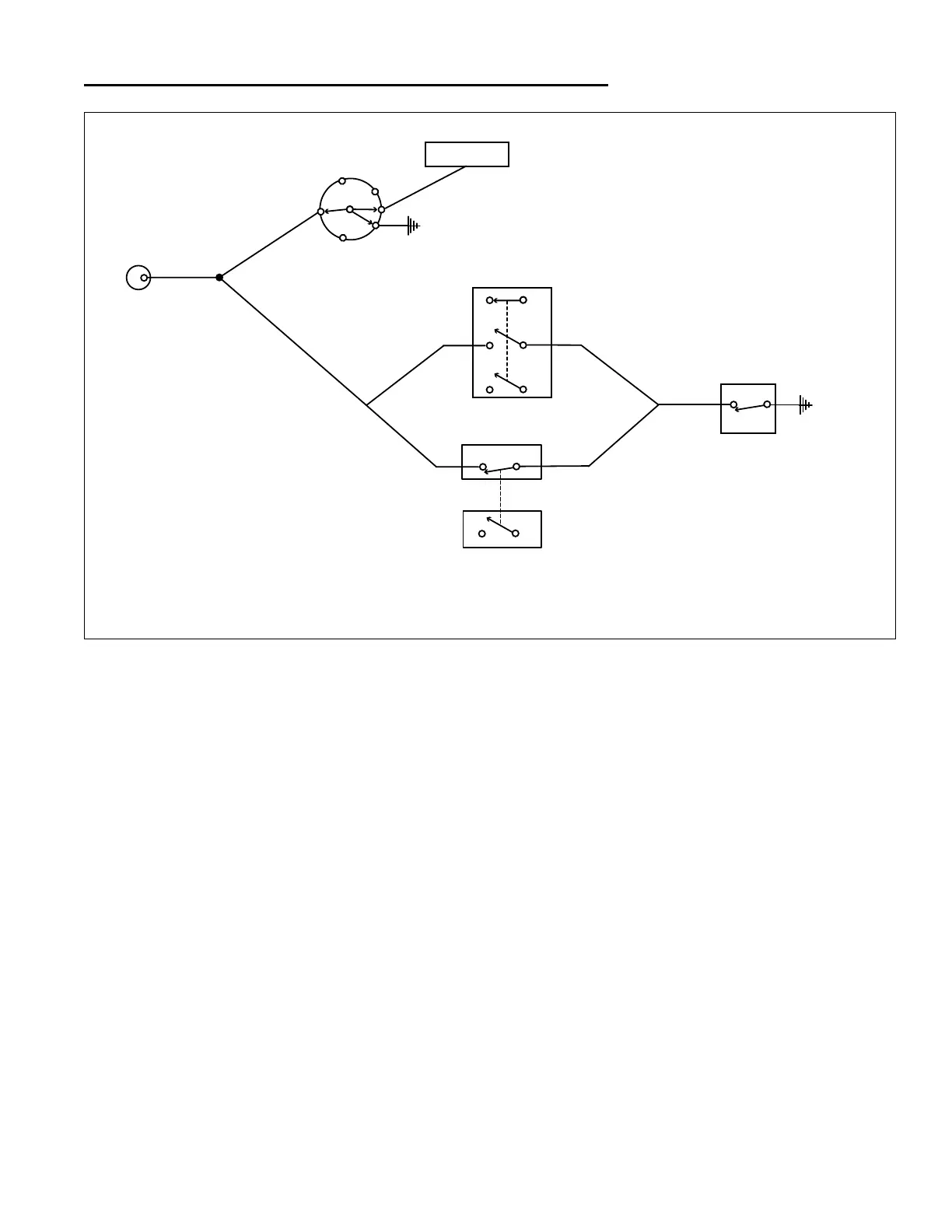
Linear Circuit Diagrams
N.O.
N.O.
N.C .
PEDAL SWITCHES
(w/ PEDAL UP)
N.C.
N.O.
(P/N 1704379)
(P/N 1714770)
A
M
L
G
B
S
MAGNETO
SPLICE
N.C.
PTO SWITCH
(OFF POSITION)
KEY SWITCH
(OFF POSITION)
SEAT SWITCH
(UNOCCUPIED)
(P/N 1714771
To Alternator
Off Position
Off Position
When the key switch is placed in the off position, the
engine magneto (or ignition coil) is grounded through the
key switch terminating spark.
The alternator is also grounded through the key switch to
prevent current from feeding-back to the fuel shut off
solenoid (if the fuel shut off solenoid receives feed back
current, it may remain open and the engine may back-
fire).
NOTE: Hydro-Gear 0500 / 0650 models and Peerless
models produced before model year 1998 do not ground
the alternator when the key is in the OFF position.
Notice that the magneto is also spliced into the safety
interlock system.
When an operator is present in the seat, the seat switch
is opened. An open seat switch allows both the parking
brake to be released and the PTO to be engaged without
killing the engine.
If the parking brake is released OR the PTO is engaged
with no operator in the seat, the magneto is grounded
killing the engine.

Table of Contents

Related product manuals