EasyManua.ls Logo

Sony STR-DN840 - Page 87

Sony STR-DN840
140 pages
Print Icon
To Next Page IconTo Next Page
To Next Page IconTo Next Page
To Previous Page IconTo Previous Page
To Previous Page IconTo Previous Page
Loading...
87
US
Adjusting Settings
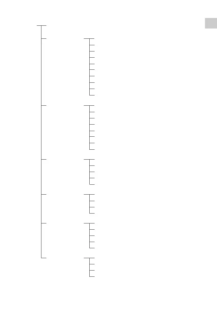
Settings menu list
Settings Easy Setup
(page 88)
Speaker Settings
(page 88)
HDMI Settings
(page 94)
Audio Settings
(page 92)
Input Settings
(page 95)
System Settings
(page 96)
Language
Auto Standby
Network Update
Update Alert
Input Mode
Input Edit
Audio Input Assign
Name In
Control for HDMI
Pass Through
HDMI Audio Out
Subwoofer Level
Fast View
D.L.L.
Sound Optimizer
Equalizer
Sound Field
A/V Sync.
Auto Volume
Dual Mono
D.Range Comp.
Auto Calibration
Calibration Type
Speaker Pattern
A.P.M.
Center Lift Up
SB Assign
Manual Setup
Crossover Freq.
Test Tone
Distance Unit
Network Settings
(page 95)
Internet Settings
Information
PARTY STREAMING
Device Name
Network Standby

Table of Contents

Other manuals for Sony STR-DN840

Related product manuals