EasyManua.ls Logo

Speck Normblock Multi 65/250 - Page 53

Speck Normblock Multi 65/250
66 pages
Print Icon
To Next Page IconTo Next Page
To Next Page IconTo Next Page
To Previous Page IconTo Previous Page
To Previous Page IconTo Previous Page
Loading...
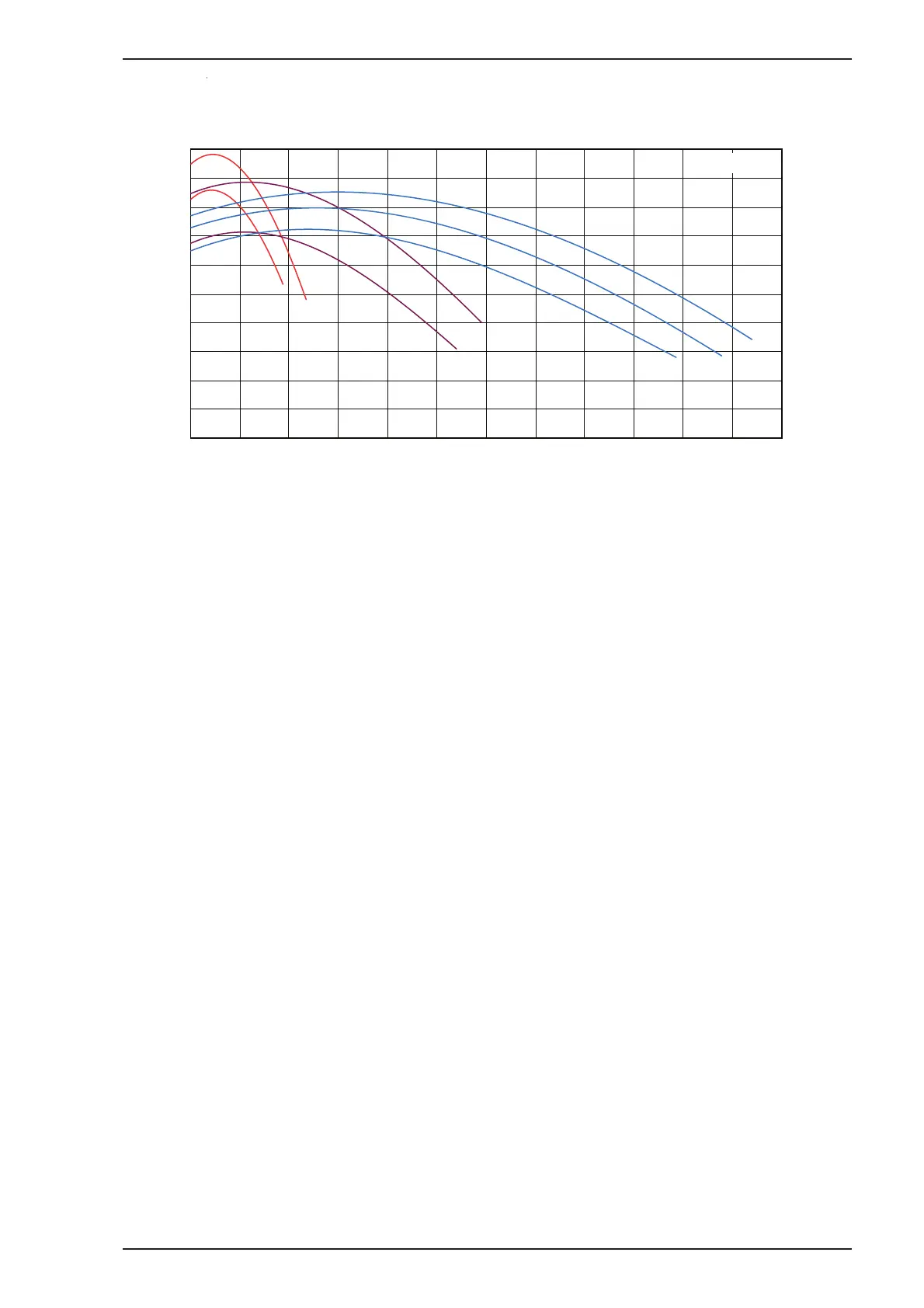
Technical data
EN 53
Fig. 14
20
10
40
30
60
80
100
90
TOTAL HEAD IN FEET
0
70
50
U.S. GALLONS PER MINUTE
1200 18001000 1600800 1400 240022002000600400200
B
A
C
D
E
F
G
1750 RPM
A. Normblock Multi 65/250 (Ø 225mm) - 7.5 HP S.F. 1.25
B. Normblock Multi 65/250 (Ø 240mm) - 10.0 HP S.F. 1.25
C. Normblock Multi 100/250 (Ø 220mm) - 15.0 HP S.F. 1.25
D. Normblock Multi 100/250 240mm) - 20.0 HP S.F. 1.25
E. Normblock Multi 125/250 (Ø 235mm) - 20.0 HP S.F. 1.25
F. Normblock Multi 125/250 (Ø 245mm) - 25.0 HP S.F. 1.15
G. Normblock Multi 125/250 (Ø 255mm) - 30.0 HP S.F. 1.15
Normblock Multi Series
04/2019

Table of Contents

Related product manuals