EasyManua.ls Logo

SPORTSTECH F17 - Trainings-Leitfaden

SPORTSTECH F17
Print Icon
To Next Page IconTo Next Page
To Next Page IconTo Next Page
To Previous Page IconTo Previous Page
To Previous Page IconTo Previous Page
Loading...
18
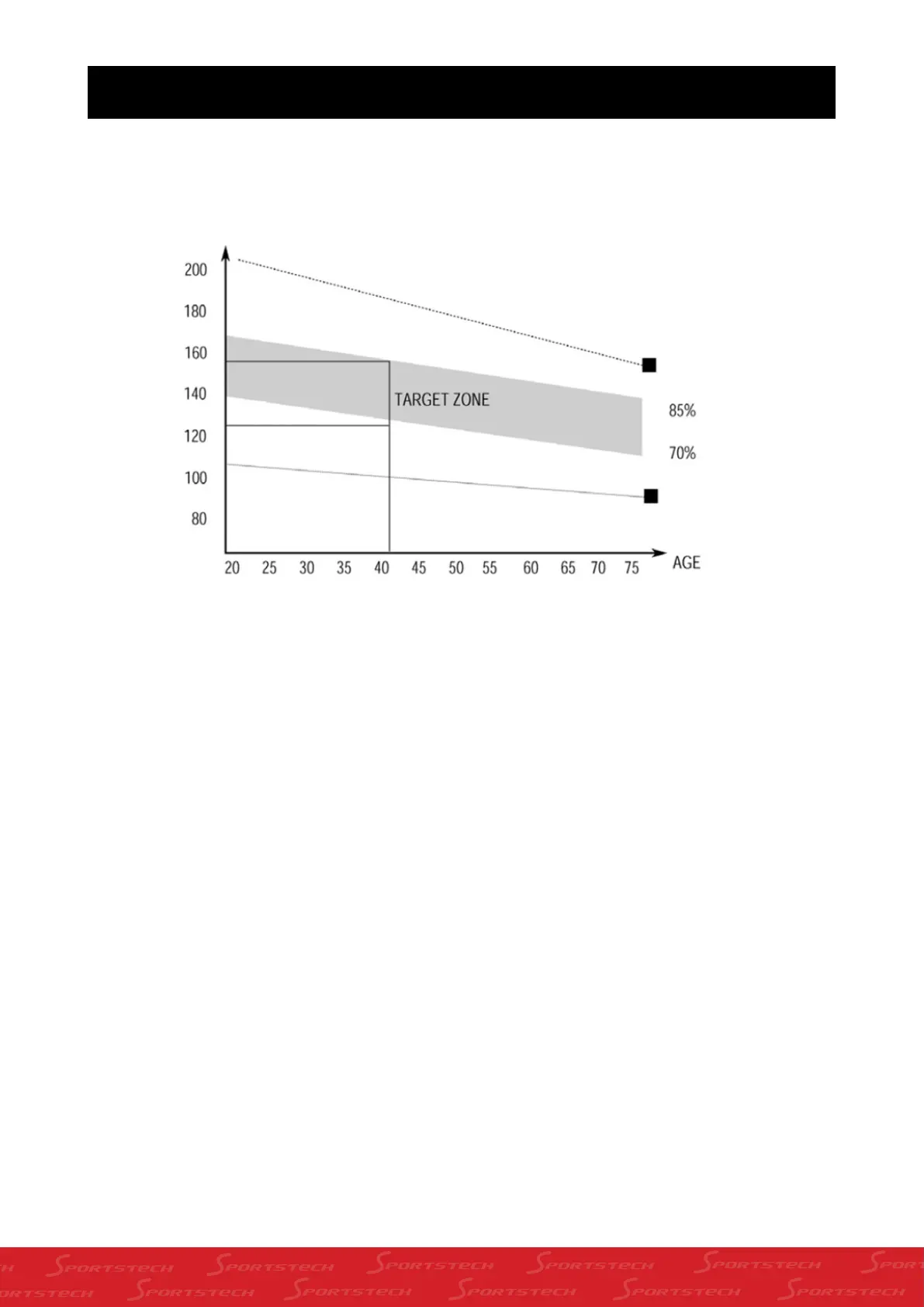
TRAININGS-LEITFADEN
ZIELZONE
Maximal
Abkühlen
Herzfrequenz
SO SOLLTE SICH IHR PULS WÄHREND NORMALER FITNESS-ÜBUNG
VERHALTEN. DENKEN SIE DARAN, SICH JEWEILS ÜBER EIN PAAR MINUTEN HINWEG AUFZUWÄRMEN UND
ABZUKÜHLEN.
Der entscheidende Faktor hier ist, wieviel Anstrengung Sie einbringen. Je härter und länger Sie trainieren, desto mehr
Kalorien werden Sie verbrenne. Dies im Effrekt das Gleiche, wie wenn Sie trainieren, um Ihre Fitness zu verbessern, der
Unterschied ist lediglich das Ziel.

Table of Contents

Other manuals for SPORTSTECH F17

Related product manuals