EasyManua.ls Logo

SPORTSTECH F17 - Directives Dentraînement

SPORTSTECH F17
Print Icon
To Next Page IconTo Next Page
To Next Page IconTo Next Page
To Previous Page IconTo Previous Page
To Previous Page IconTo Previous Page
Loading...
84
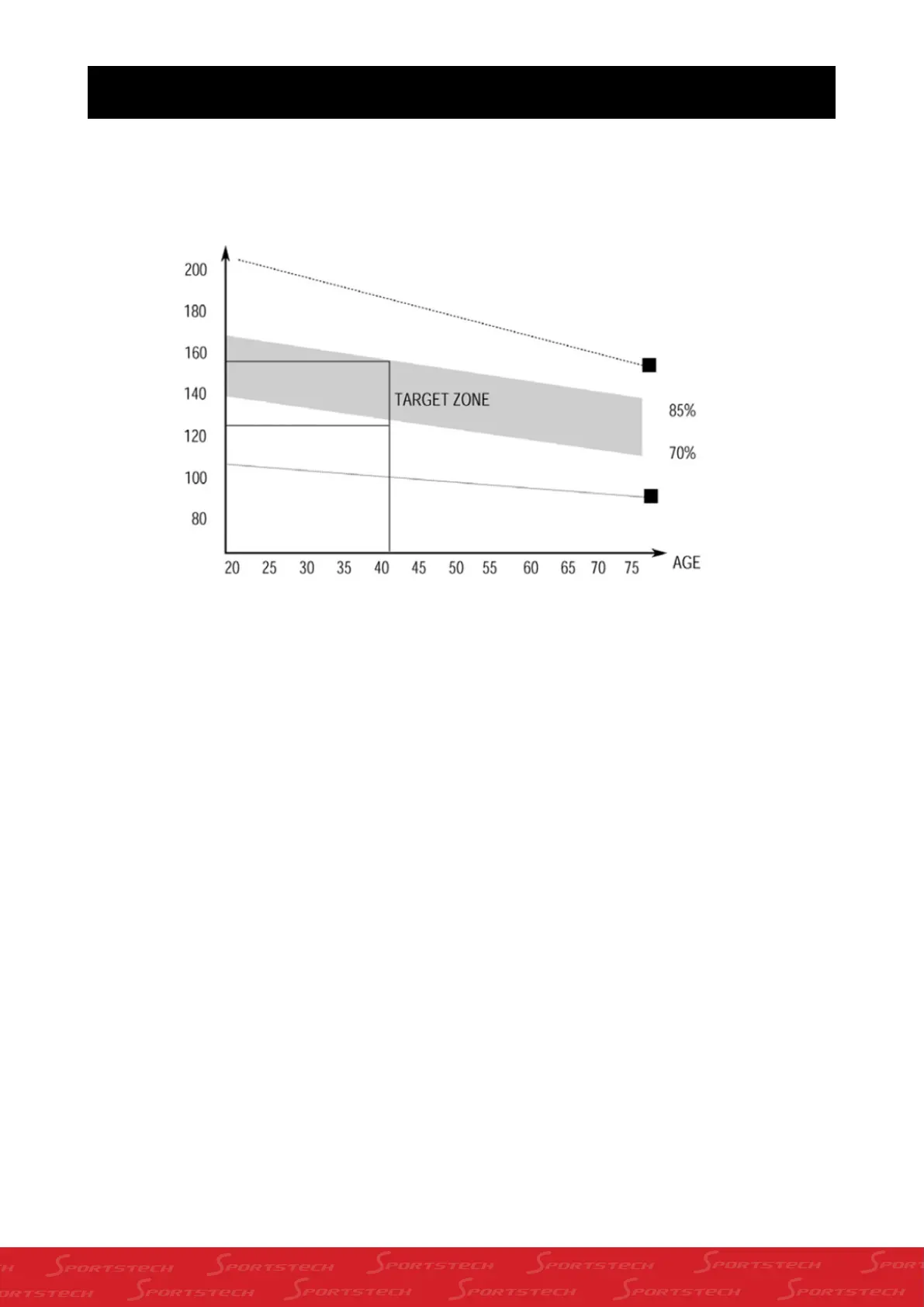
DIRECTIVES D'ENTRAÎNEMENT
ZONE CIBLE
Maximum
Refroidir
Fréquence cardiaque
C'EST AINSI QUE VOTRE POULS DEVRAIT SE COMPORTER PENDANT LA REMISE EN FORME GÉNÉRALE
EXERCICE. N'OUBLIEZ PAS DE VOUS ECHAUFFER ET DE REFROIDIR PENDANT QUELQUES MINUTES.
Le facteur le plus important ici est la quantité d'effort que vous mettez. Plus vous travaillerez dur et long, plus vous
brûlerez de calories. Effectivement, c'est la même chose que si vous étiez entrain d'améliorer votre condition physique, la
différence est le but.

Table of Contents

Other manuals for SPORTSTECH F17

Related product manuals