EasyManua.ls Logo

SPORTSTECH F17 - Workout Guidelines

SPORTSTECH F17
Print Icon
To Next Page IconTo Next Page
To Next Page IconTo Next Page
To Previous Page IconTo Previous Page
To Previous Page IconTo Previous Page
Loading...
40
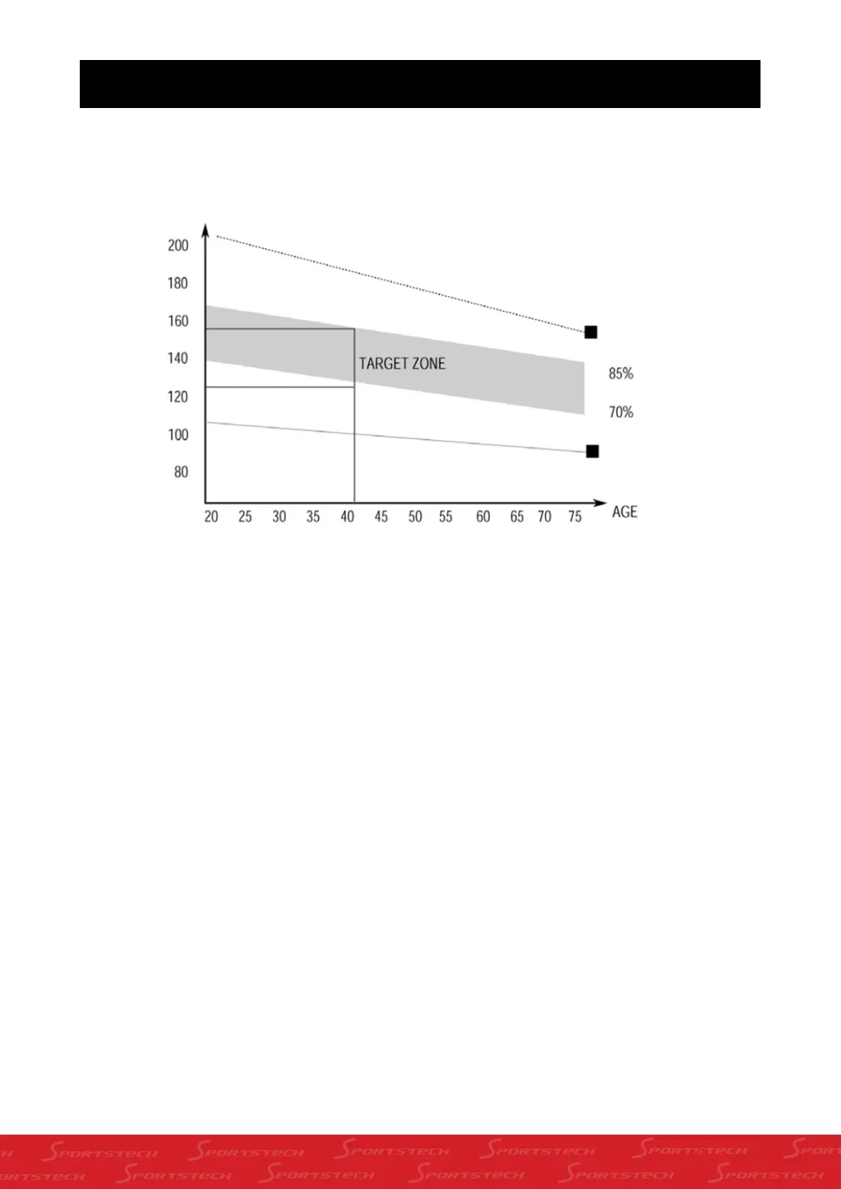
WORKOUT GUIDELINES
TARGET ZONE
Maximum
Cool down
Heart rate
THIS IS HOW YOUR PULSE SHOULD BEHAVE DURING GENERAL FITNESS
EXERCISE. REMEMBER TO WARM UP AND COOL DOWN FOR A FEW MINUTES.
The most important factor here is the amount of effort you put in. The harder and longer you work the more calories you
will burn. Effectively this is the same as if you were training to improve your fitness, the difference is the goal.

Table of Contents

Other manuals for SPORTSTECH F17

Related product manuals