EasyManua.ls Logo

Tefcold BLC10 - Page 29

Default Icon
37 pages
Print Icon
To Next Page IconTo Next Page
To Next Page IconTo Next Page
To Previous Page IconTo Previous Page
To Previous Page IconTo Previous Page
Loading...
24
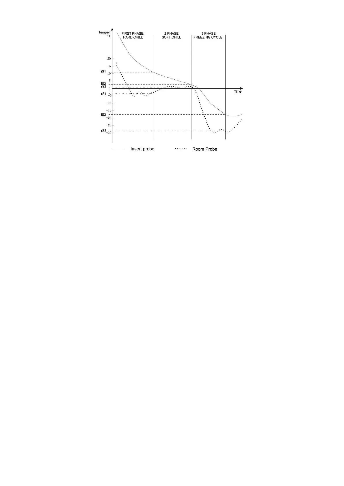
17.3.1 First phase: “Hard chill”.
It is normally used to fast chill hot foods. E.g. from 80°C / 170°F to 20°C / 70°F
During “Hard Chill”, both compressor and fan are always on until the rS1 temperature is reached. At
this point compressor is turned on end off so as to keep the temperature of the room at the rS1 value.
“Hard Chill” ends when the temperature measured by the 3 insert probes reach the iS1 value.
17.3.2 Second phase: “Soft chill”.
The Soft Chill starts when the Hard Chill ends. It is used to prevent thin layer of ice from forming on
the product. The Soft Chill lasts until the temperature measured by the 3 insert probes reach the set
point iS2 (usually 4 or 5°C).
During Soft Chill the temperature of the room is regulated by the ambient probe with the set point rS2
(normally at 0 or 1 °C / 32 or 34°F). When the box temperature reaches the rS2 value compressor is
turned on end off so as to keep the temperature of the box at this value.
17.3.3 Third phase: “Freezing cycle”.
Freezing Cycle: used to fast freeze foods.
The Freezing Cycle starts when the Soft Chill ends. During the “Freezing Cycle” both compressor
and fan are always on until the rS3 temperature is reached. At this point compressor and fans are
turned on end off so as to keep the temperature of the room at the rS3 value (normally some degrees
below iS3).
Freezing Cycle ends when the temperature measured by the 3 insert probes reach the iS3 value
(normally -18°C / 0°F), in any case it ends when the maximum time Pd1 + Pd2 + Pd3 has expired.
17.3.4 End of the Blast Chill cycle and starting of the Hold Mode.
When one of the three insert probes reaches the iS3 value the values End followed by the i1P or i2P
or i3P are shown on the display.
Cycle ends when all the probes have reached the iS3 value. A signal is generated: buzzer and alarm
relay is turned ON, the display shows the message “End” alternating with the room temperature.
The alarm automatically stops after the “but” time or by pressing any keys.
At the end of the cycle the controller can start the “Hold mode” keeping the room temperature at the
value set in HdS parameter.
If HdS = OFF, the machine is turned OFF.
NOTE1: with dbH = yES a defrost is done before the holding phase.
NOTE2: If the end cycle temperature iS3 is not reached in the maximum time Pd1+Pd2+Pd3 the

Table of Contents

Related product manuals