EasyManua.ls Logo

Teletek electronics ECLIPSE 16 - APPENDIX C - VD;DTMF Operation Algorithm

Teletek electronics ECLIPSE 16
48 pages
Print Icon
To Next Page IconTo Next Page
To Next Page IconTo Next Page
To Previous Page IconTo Previous Page
To Previous Page IconTo Previous Page
Loading...
ECLIPSE 8/16/32/99 Series User Operation Manual
46
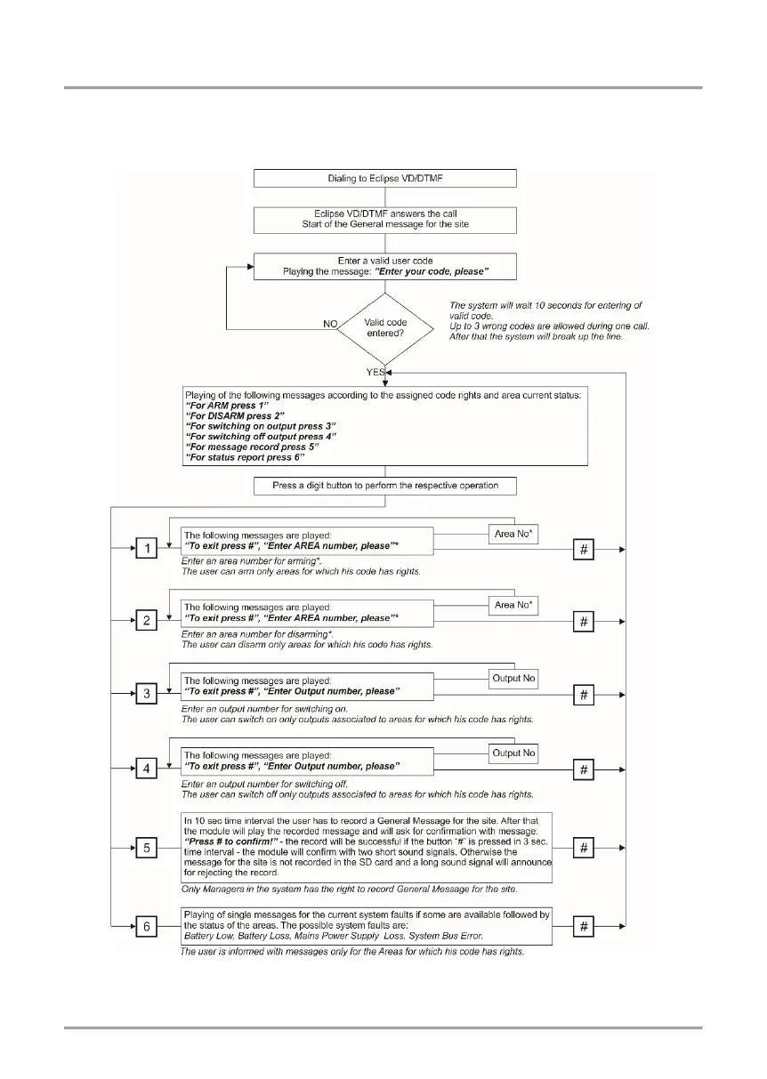
APPENDIX C VD/DTMF Operation Algorithm
The user can realize remote management of the system if the system configuration is equipped with
voice module. If during 40 seconds time interval there is no action pressed button, the system will
break up the line.
* Note: When operating with Eclipse 8 the messages for entering of Area number are missed and the user has not
to enter an Area number.
When operating with Eclipse 16 the correspondence of the Areas is: Area 1 (A), Area 2 (B) and Area 3 (C).

Table of Contents

Other manuals for Teletek electronics ECLIPSE 16

Related product manuals