EasyManua.ls Logo

TELEVAC MM200 - Page 159

TELEVAC MM200
160 pages
Print Icon
To Next Page IconTo Next Page
To Next Page IconTo Next Page
To Previous Page IconTo Previous Page
To Previous Page IconTo Previous Page
Loading...
INSTRUMENT MANUAL
VACUUM GAUGE MODEL MM200
160Phone:(215) 947-2500 fax:(215) 947-7464 e-mail:sales@televac.com web site:www.televac.com
MM-200_im REV M
Page 158 of 160
TELEVAC
1000 MISCELLANEOUS
CALIBRATION MODE In some instances units will be set up in the factory or at the customer’s facility via
RS232 to be in the CALIBRATION MODE. In this case additional resolution is available on the display. In some
instances the resolution will be greater than the accuracy of the sensor in some pressure ranges. When the unit is
first turned on, the display will read CAL 1.XX, if it is in the CALIBRATION MODE (e.g., CAL 1.29). Otherwise it will
read SOFT 1.XX.
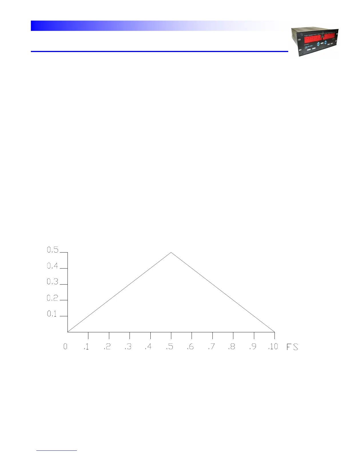
DIAPHRAGM GAUGES The accuracy of the 1E and the 1F diaphragm gauges relies on setting the calibration at
both the "zero" point and at full scale for the sensor used. When calibrated at "zero", using the "ZERO"
potentiometer, the reference pressure must be two decades or more below the lowest reading - 1E: 0.01 Torr or
lower; 1F: 10 Torr or lower. The upper setting is made using the "ATM" or "SPAN" potentiometer when the
reference pressure is - 1E: Atmospheric pressure (760 Torr or 1010 mbar); 1F: 10,000 mbar.
Accuracy is shown below in % of full-scale reading when calibrated at ZERO and full scale:
Error in
Percent of
Full Scale

Table of Contents