EasyManua.ls Logo

Trane Technologies CenTraVac CVHE - Purge System Maintenance; Leak Checking Based on Purge Pump Out Time; Long Term Unit Storage

Trane Technologies CenTraVac CVHE
108 pages
Print Icon
To Next Page IconTo Next Page
To Next Page IconTo Next Page
To Previous Page IconTo Previous Page
To Previous Page IconTo Previous Page
Loading...
CVHE-SVX005B-EN
91
Change the oil only if indicated by the oil analysis.
Using an oil analysis program will reduce the chiller’s
overall lifetime waste oil generation and minimize
refrigerant emissions. The analysis determines system
moisture content, acid level, and wear metal content of
the oil, and can be used as a diagnostic tool. The oil
analysis should be performed by a qualified laboratory
that is experienced in refrigerant and oil chemistry and
in the servicing of Trane® centrifugal chillers.
In conjunction with other diagnostics performed by a
qualified service technician, oil analyses can provide
valuable information on the performance of the chiller
to help minimize operating and maintenance costs and
maximize its operating life. A valve is installed next to
the oil filter for the purpose of obtaining oil samples.
NNootteess::
Use only Trane compressor oil and verify
proper refrigerant and oil for your chiller
before proceeding! A full compressor oil
change is 9 gallons (34.1L) of oil for each
sump of the R514A Duplex chiller.
For chillers with R-123 refrigerant, use
OIL00022 (2.5 gallon [9.5 L] containers)
compressor oil.
For chillers with R-514A refrigerant, use
OIL00379 (1 gallon [3.8 L] containers)/
OIL00380 (5 gallon [18.9 L] containers)
compressor oil.
For air-run operation use OIL00381 (1
gallon [3.8L] containers)/OIL00382 (5
gallon [18.9L] containers) compressor oil.
One spare compressor oil filter is provided
with each new chiller. If not used earlier, use
at first recommended compressor oil and
filter change.
This recommended compressor oil change
is NOT covered by factory warranty.
Purge System
The use of low-pressure refrigerant in CenTraVac
chillers permits any section of the unit to be below
atmospheric pressure, regardless of whether the unit is
running. This creates an environment in which air or
moisture could enter the unit. If these non-
condensables are allowed to accumulate while the
chiller is running, they become trapped in the
condenser; this situation increases condensing
pressure and compressor power requirements, and
reduces the chiller’s efficiency and cooling capacity.
Therefore, proper maintenance of the purge system is
required.
The purge is designed to remove non-condensable
gases and water from the refrigeration system. For R-
123 chillers, purge operation, maintenance, and
troubleshooting procedures are detailed in Operation
and Maintenance Guide: EarthWise Purge System with
Tracer AdaptiView Control for Water-Cooled
CenTraVac Chillers with R-123 Refrigerant (PRGF-
SVX01*-EN). For R-514A chillers, operation,
maintenance, and troubleshooting procedures are
detailed in Operation and Maintenance Guide: Purge
System for Water-Cooled CenTraVac
Chillers with
Symbio
Control, R-514A Refrigerant (PRGG-
SVX002*-EN).
Leak Checking Based on Purge Pump Out
Time
Use the following formula to calculate the annual
refrigerant leakage rate based on the daily purge
pump-out time and the unit refrigerant charge.
Formula: % annual leakage rate = [(X min/day)*
(0.0001 lb of refrigerant/min)/(Y lb)]*100
X = minutes/day of purge pump out operation
Y = initial refrigerant charge
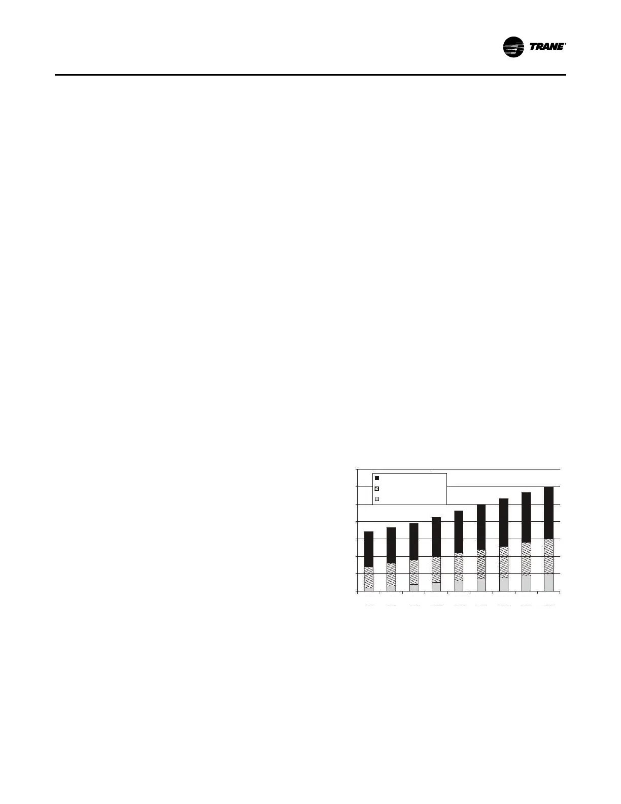
The following figure has been developed to aid in
determining when to do a leak check of a chiller based
on the purge pump-out time and unit size. This figure
depicts normal purge pump-out times, small leaks, and
large leaks based on chiller tonnage.
If the purge pump-out time is in the small leak region,
then a leak check should be performed and all leaks
repaired at the earliest convenience. If the purge pump-
out time is in the large leak region, a thorough leak
check of the unit should be performed immediately to
find and fix the leaks.
Figure 60. Purge operation under typical and leak
conditions
Large Leak
Small Leak
Typical Operation
Purge Minutes per Day
Chiller Tons per Circuit
140
120
100
80
60
40
20
0
400 600 800 1000 1200 1400 1600 1800 2000
Long Term Unit Storage
If the chiller will be stored for more than six months
after production, contact your local Trane Service
Agency for required extended storage actions to
minimize impact to the chiller and preserve the
warranty. In addition, contact your local Trane Service
Agency for recommendations for storage requirements
for chillers to be removed from service in excess of a
normal seasonal shut-down.
RReeccoommmmeennddeedd MMaaiinntteennaannccee

Table of Contents

Related product manuals