EasyManua.ls Logo

Victron energy MultiPlus 12/3000/120 – 50 - Appendix F: Temperature Compensation

Victron energy MultiPlus 12/3000/120 – 50
62 pages
Print Icon
To Next Page IconTo Next Page
To Next Page IconTo Next Page
To Previous Page IconTo Previous Page
To Previous Page IconTo Previous Page
Loading...
EN Appendix
www.victronenergy.com
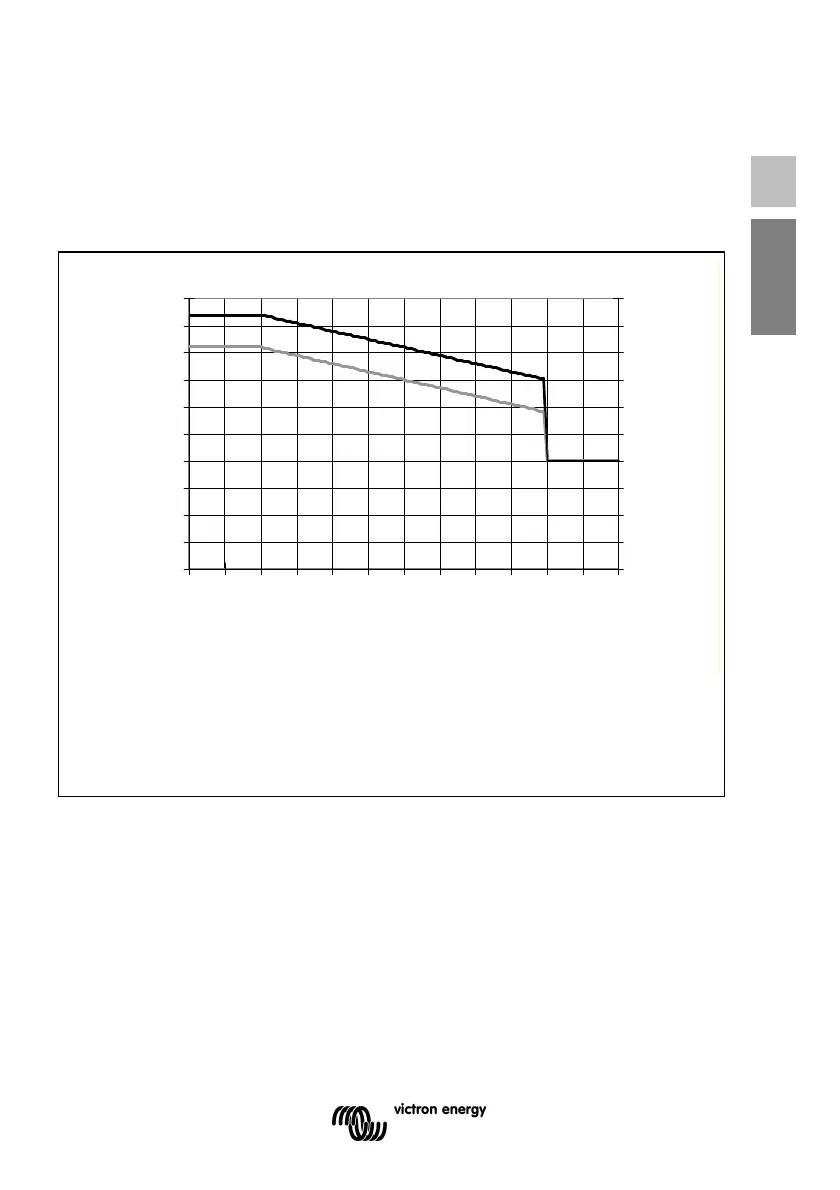
APPENDIX F: Temperature compensation
10.0
10.5
11.0
11.5
12.0
12.5
13.0
13.5
14.0
14.5
15.0
0 5 10 15 20 25 30 35 40 45 50 55 60
Battery temperature
Volts
20
21
22
23
24
25
26
27
28
29
30
Volts
Default output voltages for Float and Absorption are at 25°C.
Reduced Float voltage follows Float voltage and Raised
Absorption voltage follows
Absorption voltage.
In adjust mode temperature compensation does not apply.

Related product manuals