EasyManua.ls Logo

Zipro Dash - Page 41

Zipro Dash
Print Icon
To Next Page IconTo Next Page
To Next Page IconTo Next Page
To Previous Page IconTo Previous Page
To Previous Page IconTo Previous Page
Loading...
41
DE
TRAINING UND TRAININGSPHASEN
Die Nutzung des Trainingsgeräts bietet Ihnen viele Vorteile. Zuallererst wird es Ihre Kondition verbessern,
Ihre Muskeln stärken und in Kombination mit der richtigen Ernährung unnötiges Fett verbrennen.
1. AUFWÄRMEN
Diese Phase verbessert die Blutzirkulation im ganzen Körper und bereitet die Muskeln für eine höhere
Anstrengung vor. Es reduziert außerdem das Risiko von Krämpfen und Verletzungen. Es ist ratsam, mehrere
Dehnübungen, wie unten gezeigt, durchzuführen. Wenn Sie Schmerzen verspüren, beenden Sie das Training
oder reduzieren Sie die Intensität der Bewegung.
DEHNÜBUNGEN:
DEHNUNG DER INNEREN OBERSCHENKELMUSKELN
Setzen Sie sich mit gebeugten Beinen und Knien, die nach außen gerichtet sind, auf eine flache
Oberfläche. Verbinden Sie die Fußsohlen und bringen Sie sie so nah wie möglich zusammen.
Drücken Sie die Knie sanft auf den Boden und halten Sie diese Position für 15 Sekunden.
DEHNUNG DER OBERSCHENKEL
Setzen Sie sich auf eine flache Oberfläche. Strecken Sie das rechte Bein und lege Sie die Sohle Ihres
linken Fußes auf den rechten Oberschenkel. Strecken Sie Ihre rechte Hand so weit wie möglich zu
den Zehen des rechten Beines. Halten Sie diese Position für 15 Sekunden. Wiederholen Sie die
Übung für das linke Bein.
KOPFDREHUNGEN
Halten Sie den Kopf gerade und schauen Sie nach vorne. Drehen Sie den Kopf nach rechts, ohne
dabei die Schultern zu bewegen, drehen Sie den Kopf wieder nach vorne und drehen Sie ihn dann
nach links und danach nach vorne.
ANHEBEN DER SCHULTERN
Heben Sie die linke Hand so weit wie möglich und halten Sie sie für einige Sekunden in dieser
Position. Wiederholen Sie die Übung mit der rechten Hand.
DEHNUNG DER ACHILLESSEHNEN
Stehen Sie Gesicht zur Wand, bewegen Sie das linke Bein nach vorne und beugen Sie es leicht im
Knie. Halten Sie das rechte Bein hinten - gerade, mit der Ferse flach auf dem Boden liegend. Halten
Sie beide Füße flach auf dem Boden und drücken Sie das Becken in Richtung der Wand. Halten Sie
diese Position für 30 Sekunden. Wiederholen Sie die Übung mit dem rechten Bein nach vorne.
Achten Sie darauf, den Rücken während der Übung nicht bogenförmig zu wölben.
RUMPFBEUGEN
Stellen Sie sich mit beiden Beinen zusammengestellt hin. Beugen Sie sich nach vorne und versuchen
Sie den Brustkorb so nah wie möglich an die Knie zu bringen. Halten Sie diese Position für 15
Sekunden. Achten Sie darauf, dass Sie die Beine nicht beugen.
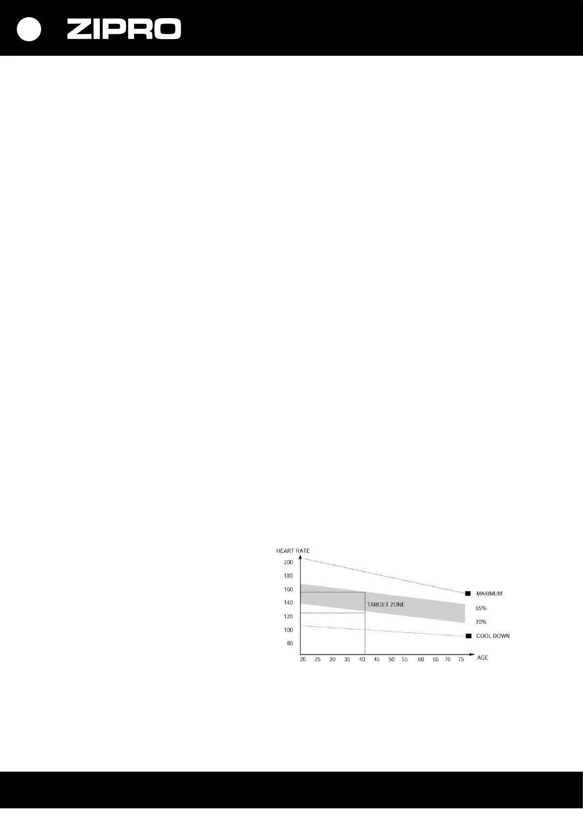
2. TRAININGSPHASE
Das ist die Phase des eigentlichen Trainings.
Trainieren Sie in Ihrem eigenen Tempo, um
einen angemessenen Puls für Ihr Alter zu
erreichen, der in der Tabelle unten gezeigt wird.
3. ABKÜHLUNGSPHASE
Diese Phase ermöglicht, dass die
Blutzirkulation beruhigt wird und die Muskeln
sich entspannen. Es handelt sich hierbei um
eine Wiederholung der Aufwärmübungen.
Achten Sie darauf, Ihre Muskeln nicht zu
überstrapazieren.

Table of Contents

Related product manuals