EasyManua.ls Logo

Acer S230HL

Acer S230HL
65 pages
To Next Page IconTo Next Page
To Next Page IconTo Next Page
To Previous Page IconTo Previous Page
To Previous Page IconTo Previous Page
Loading...
12
ACER S230HL
1. Product Specification
Go to contents page
- Defects not apparent within one minute shall be ignored.
1.4.5.5 Defect Terminology:
Dark Spots / Lines: Spots or lines that appear dark in the display patterns and are usually the result
of contamination. Defects do not vary in size or intensity (contrast) when contrast voltage is varied.
Contrast variation can be achieved through the use of varying gray shade patterns.
Bright Spots / Lines: Spots or lines that appears light in the display patterns. Defects do not vary in
size or intensity (contrast) when contrast voltage is varied. Contrast variation can be achieved
through the use of varying gray shade patterns.
Polarizer Scratch: When the unit lights, lines appear light (white) with display patterns dark and do
not vary in size. Physical damage to the polarizer does not damage the glass.
Polarizer Dent: When the unit lights, spots appear light (white) with display patterns dark and do not
vary in size. Physical damage to the polarizer does not damage the glass.
Bright/Dark Dot: A sub - pixel (R, G, B dot) stuck off / on (electrical).
1.4.5.6 LCD Inspection method:
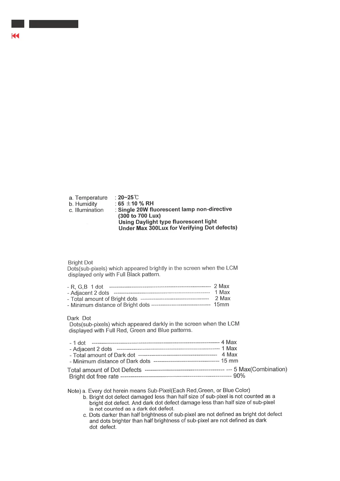
*Ambient conditions:
*Viewing distance:
The distance between the LCM and the inspector eyes shall be at least 35~50cm
Dot Defect:

Table of Contents

Related product manuals