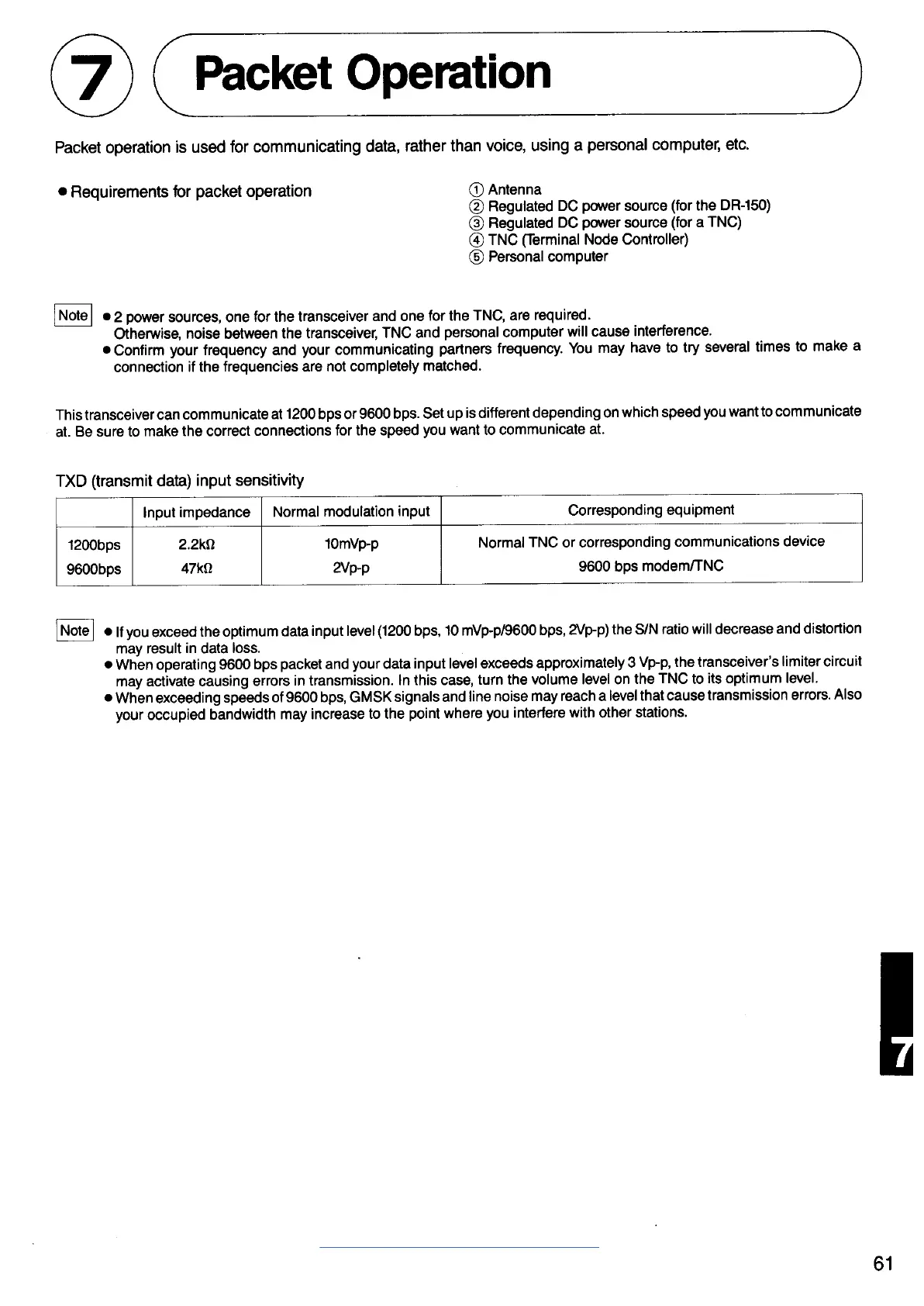
EasyManua.ls Logo

Alinco DR-150E - Packet Operation

Alinco DR-150E
65 pages
Print Icon
To Next Page IconTo Next Page
To Next Page IconTo Next Page
To Previous Page IconTo Previous Page
To Previous Page IconTo Previous Page
Loading...
www.ALINCO-RADIO.ru

Other manuals for Alinco DR-150E

Related product manuals